اکسایش دس–مارتین
اکسایش دس–مارتین(به انگلیسی: Dess–Martin oxidation) یک واکنش آلی برای اکسایش الکلهای نوع اول به آلدهیدها و الکلهای نوع دوم به کتونها با استفاده از پریدینان دس–مارتین است . [1] این واکنش به افتخار دو شیمیدان آمریکایی به نامهای دانیل بنجامین دس و جیمز کالن مارتین نامگذاری شدهاست. این دو شیمیدان در سال ۱۹۸۳ بر روی توسعه پریدینانها مطالعه نمودند.
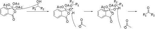
سازوکار واکنش اکسایش دس-مارتین
| اکسایش دس–مارتین | |
|---|---|
| نامگذاری شده پس از | Daniel Benjamin Dess جیمز کالن مارتین |
| نوع واکنش | واکنشهای اکسایش و کاهش آلی |
| شناسهها | |
| در درگاه شیمی آلی | dess-martin-oxidation |
| RSC ontology ID | RXNO:۰۰۰۰۲۵۶ |
جستارهای وابسته
منابع
- Dess, Daniel B.; Martin, James C. (1983). "Readily accessible 12-I-5 oxidant for the conversion of primary and secondary alcohols to aldehydes and ketones". J. Org. Chem. 48 (22): 4155–4156. doi:10.1021/jo00170a070.
This article is issued from Wikipedia. The text is licensed under Creative Commons - Attribution - Sharealike. Additional terms may apply for the media files.