بازآرایی هافمن-مارتیوس
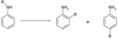
بازآرایی هافمن-مارتیوس (انگلیسی: Hofmann–Martius rearrangement) گونهای از واکنش بازآرایی در شیمی آلی است که طی آن یک آنیلین نرمال آلکیل به یک آنیلین اورتو یا پارا آلکید-آنیلین تبدیل میشود. این واکنش نیازمند گرما بوده و کاتالیزور آن اسیدهایی همچون هیدروکلریک اسید است.
بازآرایی هافمن-مارتیوس
جستارهای وابسته
منابع
- مشارکتکنندگان ویکیپدیا. «Hofmann–Martius rearrangement». در دانشنامهٔ ویکیپدیای انگلیسی، بازبینیشده در ۲۸ دسامبر ۲۰۱۶.
This article is issued from Wikipedia. The text is licensed under Creative Commons - Attribution - Sharealike. Additional terms may apply for the media files.