بازآرایی پومرر
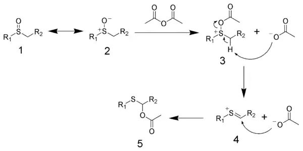
بازآرایی پومرر (انگلیسی: Pummerer rearrangement) گونهای از واکنش بازآرایی در شیمی آلی است که طی آن یک آلکیل سولفوکسید در حضور یک استیک انیدرید به یک آلفا-آسیلوکسی تیواستر تبدیل میشود.

بازآرایی پومرر
| بازآرایی پومرر | |
|---|---|
| نامگذاری شده پس از | Rudolph Pummerer |
| نوع واکنش | واکنشهای بازآرایی |
| شناسهها | |
| RSC ontology ID | RXNO:۰۰۰۰۲۲۰ |
سازوکار واکنش

سازوکار واکنش بازآرایی پومرر
جستارهای وابسته
منابع
- مشارکتکنندگان ویکیپدیا. «Pummerer rearrangement». در دانشنامهٔ ویکیپدیای انگلیسی، بازبینیشده در ۲۹ دسامبر ۲۰۱۶.
This article is issued from Wikipedia. The text is licensed under Creative Commons - Attribution - Sharealike. Additional terms may apply for the media files.