بازآرایی گابریل–کولمان
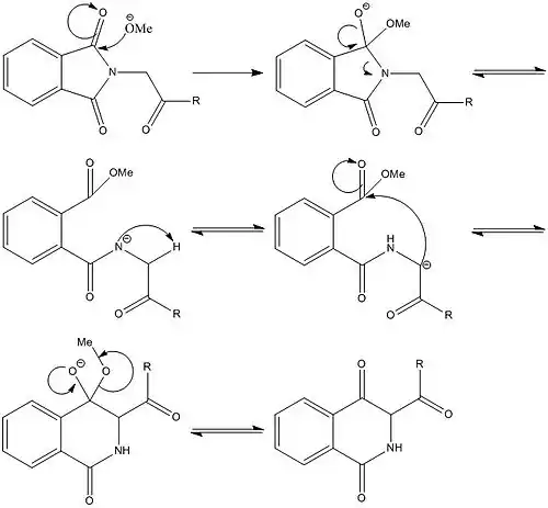
بازآرایی گابریل–کولمان (به انگلیسی: Gabriel–Colman rearrangement) یک واکنش شیمیایی از نوع بازآرایی بین ساخارین یا فتالیمیدو استر و یک باز قوی مانند آلکوکسیدها است که منجر به تشکیل یک ترکیب استخلافی از ایزوکوئینولین میشود.[1][2]

بازآرایی گابریل–کولمان
سازوکار واکنش

سازوکار واکنش بازآرایی گابریل–کولمان
جستارهای وابسته
منابع
- Gabriel, S. ; Colman, J. "Ueber eine Umlagerung der Phtalimidoketone" شمیشه بریشته 1900, 33, 2630. ()
- Koelsch, C. F. ; Lindquist, R. M. "Some Attempts to Prepare Derivatives of Benz[f]isoquinoline and a Synthesis of Benz[h]isoquinoline" جورنال آو ارگانیک کمیستری 1956, 21, 657–659. ()
This article is issued from Wikipedia. The text is licensed under Creative Commons - Attribution - Sharealike. Additional terms may apply for the media files.