تبدیل پارک
در مهندسی برق، تبدیل dqo یا تبدیل مستقیم-عمود-صفر (یا dq0 یا 0dq یا odq یا dqo) یک تبدیل ریاضی است که برای سادهسازی تحلیل مدار سه فاز به کار میرود. در حالتی که مدار سه فاز متعادل است استفاده از تبدیل dqo سه کمیت متناوب را را به دو کمیت DC کاهش میدهد. میتوان محاسبات ساده شده را روی کمیتهای DC موهومی انجام داد و سپس با استفاده از تبدیل معکوس، نتایج سه فاز AC را بدست آورد. از این تبدیل معمولاً برای سادهسازی تحلیل ماشینهای سه فاز سنکرون یا برای سادهسازی محاسبات کنترل اینورتر استفاده میشود. این تبدیل dqo بسیار شبیه به تبدیلی است که اولین بار توسط رابرت ه. پارک در سال ۱۹۲۹ پیشنهاد شد است.[1]در واقع تبدیل dqo اغلب به تبدیل پارک اشاره میکند.
تعریف
تبدیلdqo برای برای جریانهای سه فاز:[2]
و تبدیل معکوس آن:
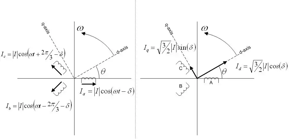
تعبیر هندسی
تبدیل dqo را میتوان به صورت هندسی تصویر سه کمیت فازوری سینوسی جداگانه بر دو بردار چرخان باسرعت زاویهای برابر دانست. این دو محور را مستقیمd و عمود q گویند که محور ۹۰q درجه از محور dجلوتر است.

منابع
- R.H. Park Two Reaction Theory of Synchronous Machines AIEE Transactions ۴۸:۷۱۶-۷۳0 (1929).
- P.M. Anderson and A.A. Fouad Power System Control and Stability IEEE Press (2003). ISBN 978-81-265-1818-0
- http://en.wikipedia.org/wiki/Dqo_transformation