تحلیل ابعادی
در قوانین تحلیل ابعادی یا آنالیز ابعادی یا معادله ابعادی (به فرانسوی: ‘’Analyse dimensionnelle) ذکر شدهاست که رابطهای که از لحاظ ابعادی همخوانی نداشتهباشد لزوماً غلط است.[1] برای تحلیل ابعادی از چهار مقدار [M] برای جرم، [L] برای طول، [T] برای زمان و [K] برای دما است.[2] و از مهمترین نظریههای آن نظریه پی باکینگهام است.[3]
تحلیل ابعادی
به هر کمیتی که میسنجیم یا محاسبه میکنیم، معمولاً بعدی وابسته است، مثلاً مقدار جذب صوت در یک محیط بسته و احتمال وقوع واکنشهای هستهای، هر دو بعد مساحت دارند. هر کمیت را میتوان بر حسب یکاهای متفاوتی بیان کرد، اما این کار بعد کمیت را عوض نمیکند؛ مساحت را چه بر حسب بین کنند، چه بر حسب ، چه بر حسب هکتار، چه بر حسب سابین (برای جذب صوت)، و چه بر حسب بارن (برای واکنشهای هسته ای) به هر حال مساحت است و بعد مساحت دارد. با توجه به کمیتهای بنیادی (مثل طول، زمان و …) میتوانیم مجموعهای از ابعاد بنیادی را بر اساس استانداردهای مستقل، انتخاب کنیم. در میان کمیتهای مکانیکی، جرم، طول، زمان، شدت روشنایی (در SI بر حسب شمع)، مقدار ماده (در SI بر حسب مول)، شدت جریان الکتریکی (در SIبر حسب آمپر)، بنیادی و مستقل از یکدیگرند و کمیتهای دیگر را میتوان بر حسب آنها بیان کرد. پس اینها را به عنوان ابعاد بنیادی میگیریم و به ترتیب با M , L، T نشان میدهیم. باید توجه داشت که برای نشان دادن دیمانسیون هر کمیتی آن را در علامت [ ] قرار میدهند و دیمانسیون (ابعاد بنیادی) را با حروف بزرگ نشان میدهند. در هر معادلهای باید بعد کمیتهای دو طرف معادله یکسان باشد. در خیلی از موارد توجه به بعد کمیتها میتواند جلوی اشتباه را بگیرد.
تحلیل ابعادی در مکانیک سیالات
تحلیل ابعادی به کمک نوعی فشرده کردن، به رفع پیچیدگی و کاستن از تعداد متغیرهای تجربی مؤثر روی یک پدیده معین فیزیکی منجر میشود. اگر پدیده ای به n متغیر با بعد بستگی داشته باشد، تحلیل ابعادی تعداد متغیرها را به kمتغیر بی بعد کاهش میدهد، که این کاهش به پیچیدگی مسئله بستگی دارد. بهطور کلی برابر تعداد ابعاد مختلف حاضر در مسئله است که گاهی ابعاد پایه، اولیه یا اساسی نامیده میشوند. در مکانیک سیالات معمولاً چهار بعد اصلی، عبارتند از:
- جرم(M)
- طول(L)
- زمان(T)
- درجه حرارت(Ө)
یک نکته
ضریب گرمای مقاومت، اختلاف فاز، شدت نسبی احساس صوت، عدد رینولدز، عدد ماخ و ضریب اتمیسیته گاز و همینطور زاویه ها مثل زاویه حمله بال دیمانسیون ندارند.
مزایای تحلیل ابعادی
گرچه هدف تحلیل ابعادی، کاهش متغیرها و گروهبندی آنها به صورت بی بعد است؛ اما مزایای جنبی زیادی نیز دربردارد:
الف) اولین مزیت تحلیل ابعادی صرفه جویی در وقت و پول است. فرض کنید میدانیم که نیروی F روی یک جسم مشخص شناور در جریان یک سیال، فقط به طول جسم(L)، سرعت جریان(V)، جرم مخصوص(ρ)، لزجت سیال(µ) بستگی دارد.

اگر شکل هندسی و شرایط جریان به قدری پیچیده باشند که تئوریهای انتگرالی و دیفرانسیلی قادر به یافتن نیرو نباشند، آنگاه باید F را به صورت تجربی بیابیم.
اگر برای تعریف یک منحنی نیاز به ۱۰ نقطهٔ تجربی باشد. برای مثال باید به ازای ۱۰ طول مختلف ۱۰ آزمایش انجام داد. سپس به ازای هر طول معین
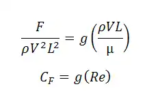
و در کل آزمایش انجام داد؛ که نیازمند صرف هزینه و وقت بسیار است. اما با استفاده از روش تحلیل ابعادی معادلهٔ نیرو به صورت زیر ساده میشود:
.jpg.webp)
که در آن ضریب بی بعد نیرو
فقط تابعی از عدد رینولدز
است. به این صورت با انجام تنها ۱۰ آزمایش به ازای تغییرات عدد رینولدز میتوان به نتیجهٔ مشابه حاصل از ۱۰۰۰۰ آزمایش به صورت عادی رسید.
ب) دومین مزیت تحلیل ابعادی این است که ما را در تعمق برای طرحریزی یک آزمایش یا تئوری یاری میکند. تحلیل ابعادی گاهی بعضی از متغیرها را کنار میگذارد و گاهی متغیرهایی را که با چند آزمایش ساده، بیاهمیت بودن آنها روشن شدهاست، گردآوری و گروهبندی میکند.
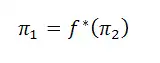
ج) سومین مزیت تحلیل ابعادی این است که به کمک قوانین تشابه حاصل از تحلیل ابعادی، میتوان دادههای مربوط به یک مدل کوچک و ارزان قیمت را به دادههای طراحی یک نمونه واقعی تبدیل کرد. هنگامی که امکان استفاده از قانون تشابه فراهم است، گفته میشود که شرایط تشابه بین مدل و نمونه واقعی برقرار است. برای نمونه در مورد مثال فوق اگر عددهای رینولدز مدل و نمونه واقعی برابر باشند تشابه کامل برقرار است.
.jpg.webp)
که اندیسهای m و p به ترتیب نشانهٔ مدل و نمونهٔ واقعی هستند. پس با استفاده از تشابه داریم:
.jpg.webp)
پس به سادگی با اندازهگیری نیروی مدل در یک عدد رینولدز، نیروی نمونه واقعی در همان عدد رینولدز بدست میآید.
قضیه پی باکینگهام
این قضیه را برای اولین بار پای بوکینگهام در سال ۱۹۱۴ پیشنهاد کرد. نام پای از نماد ریاضی π به معنای حاصلضرب متغیرها گرفته شدهاست. گروههای بی بعد یافته شده توسط این روش حاصلضربهایی توانی هستند. در این روش میتوان πها را بدون اجبار به تعریف جداگانه آنها، سلسله وار پیدا کرد.
این قضیه شامل دو بخش است:
۱) بخش اول بیانگر کاهش مورد انتظار در تعداد متغیرهاست:
اگر یک تحول فیزیکی اصل همگنی ابعادی را برآورده کند و شامل nمتغیر ابعادی باشد، میتوان آن رابه یک رابطه بین تنهاr یا π متغیر بی بعد کاهش داد. کاهش p=n-r، معادل حداکثر تعداد متغیرهایی است که بین خود π تشکیل نمیدهند و همیشه کمتر یا مساوی تعداد ابعاد بیان کننده متغیرها خواهد بود.
۲) بخش دوم قضیه، چگونگی یافتن همزمان πها را نشان میدهد
کاهش میزان p را بیابید، آنگاه p متغیر را بگونه ای انتخاب کنید که π حاصل از آنها بین خودشان یکسان نباشد. در هر گروه π دلخواه، باید حاصلضرب توانی این p متغیر بعلاوه یک متغیر اضافی با هر توان مناسب غیر صفر باشد؛ بنابراین، هر گروه π یافت شده مستقل خواهد بود.
.jpg.webp)
با یک مثال نحوهٔ استفاده از این روش را واضحتر میکنیم:
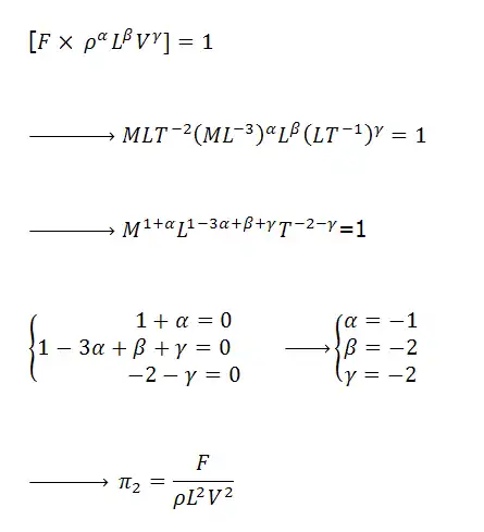
فرض کنید در آزمایشی نیروی F، تابعی از چگالی، ویسکزیته، طول و سرعت باشد. داریم:
.jpg.webp)
حال ماتریس ابعادی را تشکیل میدهیم:
.jpg.webp)
حال میدانیم که r=۳ متغیر تکرار شونده داریم. این متغیرها را باید طوری انتخاب کنیم که در ماتریس ابعادی سه در سه آنها هیچ سطری صفر نباشد. در اینجا سه متغیر ρ،L,V را انتخاب میکنیم. ابتدا µ، ρ،L,V را در نظر گرفته و مینویسیم:
.jpg.webp)
حال F، ρ،L,V را در نظر میگیریم و مینویسیم:
.jpg.webp)
حال میتوان نوشت:
.jpg.webp)
جدول ابعاد مربوط به مکانیک سیالات
.jpg.webp)
منابع
- Fluid Mechanics , By: White,Frank.M
- فیزیک ۱ (جلد اول)، تألیف رابرت رزنیک، دیوید هالیدی و کنت اس. کرین، ترجمهٔ جلال الدین پاشایی راد، محمد خرمی و محمدرضا بهاری، نشر دانشگاهی، ۱۳۸۱، شابک ۹۶۴−۰۱−۱۰۹۲−۲
- دانشنامهٔ رشد
- مکانیک سیالات نوشتهای. راتاکریشنان ترجمه محسن جهانمیری
- فیزیک پایه جلد اول نوشته فرانک جی بلت
- مکانیک سیالات نوشته شیمز ترجمه علیرضا انتظاری