تراکم آسیلوئین
تراکم آسیلوئین یک واکنش جفت سازی کاهشی میان دو استر با استفاده از فلز سدیم به منظور تولید آلفا-هیدروکسی معروف به آسیلوئین است.[1][2][3]

این acyloin تراکم
مکانیزم
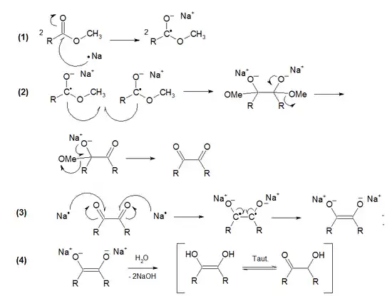
این مکانیزم شامل چهار مرحله است:
- (1) یونیزاسیون اکسایشی دو اتم سدیم به وسیله ی پیوند دو گانه ی مولکول استر
- (2) جفت شدن رادیکالی دو مولکول استر رادیکالی تولید شده از مرحله قبل ( واکنش جفت شدگی وورتز).حذف گروه آلکوکسی در هر دو سمت انجام می گردد و محصول ۱و۲-دی کتون حاصل می شود.
- (3) یونیزاسیون اکسایشی دو اتم سدیم به وسیله ی مولکول ۱و۲-دی کتون و تشکیل سدیم انودیولات.
- (4) خنثی سازی با آب به به منظور تشکیل انودیول که در نهایت به مولکول آسیلوئین توتومری می کند.[4]
این acyloin تراکم
منابع
- Bouveault, L.; Locquin, R. (1905). "Action du sodium sur les éthers des acides monobasiques à fonction simple de la série grasse". Compt. Rend. (به French). 140: 1593–1595. Unknown parameter
|trans_title=ignored (help) - Finley, K. T. (1964). "The Acyloin Condensation as a Cyclization Method". Chem. Rev. 64 (5): 573–589. doi:10.1021/cr60231a004.
- Bloomfield, J. J.; Owsley, D. C.; Nelke, J. M. Org.
- Acyloin condensation
This article is issued from Wikipedia. The text is licensed under Creative Commons - Attribution - Sharealike. Additional terms may apply for the media files.