جفتشدن نگیشی
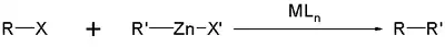
جفتشدن نگیشی (به انگلیسی: Negishi coupling) گونهای از واکنش جفتشدن است که در آن یک ترکیب آلی حاوی روی با یک ترکیب آلی حاوی هالید در حضور کاتالیزور نیکل یا پالادیم واکنش داده و تشکیل یک شاخه کربنی یکپارچه را میدهند. این واکنش به افتخار شیمیدان ژاپنی و برنده جایزه نوبل شیمی سال ۲۰۱۰، ای ایچی نگیشی، نامگذاری شده است.[1][2]
| جفتشدن نگیشی | |
|---|---|
| نامگذاری شده پس از | ای ایچی نگیشی |
| نوع واکنش | واکنشهای جفتشدن |
| شناسهها | |
| در درگاه شیمی آلی | negishi-coupling |
| RSC ontology ID | RXNO:۰۰۰۰۰۸۸ |
جستارهای وابسته
منابع
- Anthony O. King, Nobuhisa Okukado and Ei-ichi Negishi (1977). "Highly general stereo-, regio-, and chemo-selective synthesis of terminal and internal conjugated enynes by the Pd-catalysed reaction of alkynylzinc reagents with alkenyl halides". Journal of the Chemical Society Chemical Communications (19): 683. doi:10.1039/C39770000683.
- Strategic Applications of Named Reactions in Organic Synthesis Laszlo Kurti, Barbara Czako Academic Press (March 4, 2005) ISBN 0-12-429785-4
This article is issued from Wikipedia. The text is licensed under Creative Commons - Attribution - Sharealike. Additional terms may apply for the media files.