خواص نوری مواد غیر فلزی

شکست
نوری که در قسمت داخلی مواد شفاف پخش میشود با کاهش سرعت روبرو میشود و در نتیجه در بدو ورود به ماده شفاف منحرف میشود که به این پدیده "شکست”میگویند. ضریب شکست "n" یک ماده به عنوان نسبت سرعت نور در خلاء cبرسرعت نور در آن ماده یا n=c/v تعریف میشود.
بزرگی n(یا ضریب شکست) بستگی به طول موج نور دارد. این اثر به وسیلهٔ جدایی اجزای رنگی سازنده پرتویی از نور سفید که به یک منشور تابانده میشود، نشان داده میشود.
هر کدام از رنگها هنگامی که به منشور وارد و از آن خارج میشوند، به میزان متفاوتی شکست میخورند. ضریب شکست نه تنها بر مسیر شهودی نور اثر میگذارد بلکه، همانگونه که بهطور خلاصه توضیح داده شد بر شکست نوری که در سطح منعکس میشود نیز تأثیر میگذارد. با توجه به معادله n=c/v برای سرعت نور در خلأ، میتوان عبارت زیر را برای سرعت متوسط نور دریک محیط نوشت:

که در آن اپسیلون و میو به ترتیب ضریب گذردهی الکتریکی و مغناطیسی در آن محیط هستند.
از معادله n=c/v داریم:

که در آن اپسیلون آر و میو آر به ترتیب ثابت. دی الکتریک و تراوایی مغناطیسی نسبی هستند. چون بیشتر مواد تنها به میزان اندکی مغناطیسی هستند
پس میو آر تقریباً برابر با یک است و

بنابراین برای مواد شفاف، یک ارتباط بین ضریب شکت و ثابت دی الکتریک وجود دارد. از آنجا که پدیدهٔ شکست به دلیل پولاریزه الکترونیکی نور مریی در فرکانسهای به نسبت بالا میباشد، بنابراین میتوان ثابت دی الکتریک را با توجه به ضریب شکست و با استفاده از معادله بالا حساب کرد. به علت تأخیر تابش الکترو مغناطیس در یک محیط در نتایجٔ پولاریزه شدن الکترونیکی، اندازه اتمهای اصلی یا یونها تأثیر قابل توجهی بر اندازه بزرگی این اثر دارند. بطور کلی هر چه یک اتم یا یون بزرگتر باشد پولاریزه شدن الکترونیکی هم بزرگتر خواهد بود و ضریب شکست بزرگتر میباشد. برای سرامیکهای با ساختارهای کریستالی مکعبی، ضریب شکست بستگی به جهت کریستالوگرافیک دارد. (به عبارت دیگر ایزوتروپیک است)
اگر چه بلورهای غیر مکعبی دارای ضریب شکست ناهمسان هستند یعنی ضریب شکست در امتداد مسیری که یونها دارای بیشترین چگالی هستند، بزرگترین است.
بازتاب
وقتی تابش نور از یک محیط به محیط دیگری که دارای ضریب شکست متفاوتی است انتقال مییابد، بخشی از نور در سطح بین دو محیط پخش میشود، حتی اگر هر دو شفاف باشند. بازتاب پذیری R بیانگر شکست نوری است که در سطح منعکس میشود یا اینکه:

که در آن IRوI0 به ترتیب بیانگر شدت پرتوهای تابانده شده و بازتابیده شده هستند. ا
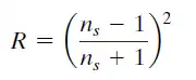
گر نور عمود بر سطح باشد، آنگاه

که در آن n2,n1 ضریب شکستهای دو محیط هستند.
اگر نور عمود بر سطح نباشد، Rبستگی به زاویه برخورد نور با سطح دارد. زمانی که نور از خلاء یا هوا به درون یک جسم جامد Sمنتشر میشود، آنگاه

زیرا ضریب شکست هوا بسیار نزدیک به یک است؛ بنابراین هر چه قدر ضریب شکست جسم جامد بالاتر باشد، بازتاب پذیری بزرگتر است. برای شیشههای سیلیکات معمولی، بازتاب پذیری تقریباً ۰٫۰۵ میباشد. از آن جایی که ضریب شکست یک جامد بستگی به طول موج نور تابع دارد بنابراین بازتاب پذیری با طول موج تغییر میکند. کاهش بازتاب پذیری برای عدسیها و وسایل نوری دیگر بواسطه پوشش سطح بازتاب با لایههای بسیار نازکی از مواد دی الکتریکی مثل منیزیم فلویورید، بهطور عمده ای حداقل میشود.
انتقال
پدیدههای جذب، بازتاب و انتشار ممکن است در مسیر عبور نور در جسم جامد شفاف مشاهده شود. همانطور که در شکل زیر مشاهده میشود برای یک پرتو که با شدت I0 از سطح جلوی نمونه با ضخامت l و ضریب جذب بتا تجاور میکند، شدت انتقال IT در سطح پشتی از رابطه زیر بدست میآید:

که در آن R بازتاب پذیری است. در این معادله فرض میشود که محیط یکسانی دربیرون از سطوح عقبی و جلویی وجود دارد؛ بنابراین شکست نوری که در ماده شفاف انتقال مییابد بستگی به هدر رفتی دارد که بواسطه جذب و انعکاس موجب میشود. توجه شود که مجموع T,R,A برابر یک میباشد و همهٔ این متغیرها بستگی به طول موج نور دارند. (T=IT/I0, A=IA/I0,R=IR/I0)
این معادله در بالای ناحیه طیف مریی برای یک شیشه سبز به اثبات میرسد. (شکل زیر)

برای مثال، برای نور با طول موج ۰٫۴میکرومتر، شکستهایی که انتقال، منعکس و جذب میشوند تقریباً به ترتیب، ۰٫۹۰ ۰٫۰۵، ۰٫۰۵ هستند. اگر چه
در ۰٫۵۵ میکرومتر، شکستهای نسبی به حدوداً ۰٫۰۲ ۰٫۴۸ ۰٫۵۰ تغییر میکنند
رنگ
مواد شفاف در اثر رنجهای خاصی از طول موج نور که بهطور گزینشی جذب شدند، رنگی ظاهر میشوند. رنگی که تشخیص داده میشود نتیجه ترکیب طول موجهایی هست که انتقال یافتهاند. اگر جذب برای تمامی طول موجهای مرئی یکسان باشد، ماده بدون رنگ ظاهر میشود. شیشههای غیر ارگانیک و الماسهای تک کریستال با خلوص بالا و رنگ کبود مثالهایی از این دستهاند.
معمولاً هیچ جذب گزینشی به وسیلهٔ برانگیختگی الکترونیکی صورت نمیگیرد. یک چنین وضعیتی شامل مواد نیمه رسانایی که دارای لایههای باند در رنجی از انرژیهای فوتون برای نور مرئی باشد (1.8ev تا 3.1ev). بنابراین شکست نور مرئی که دارای انرژیهایی به مراتب بزرگتر از Eg میباشد بواسطه الکترونهای لایه والانس یک ماده رسانا بطور گزینشی جذب میشوند. برخی از این تابشهای جذب شده به عنوان الکترونهای برانگیخته ای که به حالت پایای خود سقوط میکنند، بی بیرون انتشار مییابند. لازم نیست که این انتشار دوباره در همان فرکانسی که در آن جذب میشود، اتفاق بیفتد. در نتیجه رنگ بستگی به پخش فرکانس شعاعهای نور انتقال یافته و منتشر شده دارد.
برای مثال، سولفید کادمیوم(cds) دارای یک لایه باند در حدود 2.4eV میباشد در بنابراین فوتونهای با انرژیهای بزرگتر از 2.4eV که مربوط به قسمتهای آبی و بنفش طیف مرئی میشود را جذب میکند؛ برخی از این انرژیها مثل نور با طول موجهای دیگر تابیده میشود. نور مرئی غیرقابل جذب شامل فوتونهای دارای انرژیهای حدوداً بین 2.4eV و ۱٫۸ میباشد. سولفید کادمیوم یک رنگ زرد- نارنجی میگیرد آن هم به دلیل ترکیب پرتو انتقال یافتهاست.
فوتونهای دارای انرژیهای کمتر از لایه باند ممکن است به عنوان پیامدی از فرایندهای محو الکترون حاوی یونها و اتمهای ناخالص همانطور که در شکل زیر نشان داده به بیرون انتشار یابند.

منابع
- Callister, Jr., William D.; Rethwisch, David G. (2014). MATERIALS SCIENCE and ENGINEERING. wily. ISBN 978-1-118-32457-8.