دترمینان
دترمینان، (به فرانسوی: déterminant)در جبر خطی به تابعی گفته میشود که هر ماتریس مربعی را (به عبارتی هر ماتریس را) به یک عدد نسبت میدهد. دترمینان بیشتر برای تعیین معکوس ماتریسها استفاده میشود، به طوری که اگر دترمینان ماتریسی مخالف صفر باشد، آنگاه آن ماتریس معکوسپذیر است. از این رو از طریق دترمینان میتوان مقادیر ویژه یک ماتریس یا به عبارت بهتر یک نگاشت خطی را تعیین کرد. مثال دیگر، این توابع، دترمینان ژاکوبی است که در روش تغییر متغیر برای انتگرالهای چند بعدی، مورد استفاده قرار میگیرد.
تعریف
اگر یک ماتریس مربعی n-بعدی با اعضای () باشد، آنگاه دترمینان این ماتریس به صورت زیر نوشته میشود (نامیده شده به لایبنیتز):
در اینجا ، مجموعهً تمام جایگشتهای (permutations) ممکن بین اعداد است و تابعی است که مقدار آن برابر ۱برای جابهجاییهای () زوج و برابر برای جابهجاییهای فرد است. در اینجا منظور از زوج و فرد، تعداد تعویضهای دوتایی میباشد، که جابهجاییِ از آنها ساخته شدهاست.
برخی از ویژگیها
- اگر B ماتریس حاصل از جا به جایی دو سطر یا دو ستون ماتریس A باشد آنگاه دترمینان B برابر قرینهٔ دترمینان A.
- اگر ماتریس A دارای دو سطر یا دو ستون مساوی باشد دترمینان آن صفر است.
- اگر ماتریس A دارای سطر یا ستونی با درایههای صفر باشد، دترمینان آن صفر است.
- اگر ماتریس A یک ماتریس بالا مثلثی یا پایین مثلثی باشد، دترمینان آن برابرست با ضرب درایههای قطر اصلی.
- اگر تمام درایههای یک سطر یا یک ستون ماتریس A بر عددی مانند K بخشپذیر باشد آنگاه K از دترمینان خارج شده و در عدد دترمینان ضرب میشود.
- اگر دترمینان ماتریسی صفر شود آنگاه آن ماتریس وارون پذیر نیست.
کاربردها
- یکی از کاربرد های دترمینان ماتریس استفاده از آن در حل معادلات می باشد.
- کاربرد دیگر دترمینان ماتریس 3*3 استفاده از آن در ضرب خارجی دو بردار است به صورتی که اگر داشته باشیم , =
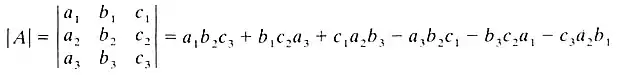
مثالها
برای، دترمینانهای مرتبه یک، مرتبه دو و مرتبه سه بهترتیب داریم:
برای ماتریسهای مرتبه سه (۳×۳) از روش زیرین میتوان استفاده کرد.
مثلاً برای پیدا کردن دترمینان ماتریس 


احتیاط: از این روش فقط برای ماتریسهای مرتبه سه استفاده میشود و از آن نمیتوان برای ماتریسهای بیش از مرتبه سه استفاده کرد.
منابع
- Alan Tucker, 1988 : A Unified Introduction to Linear Algebra: Models, Methods and Theory , Macmillan Pub Co. ISBN 0-02-421580-5
پیوند به بیرون
- روشهای محاسبه دترمینان: محاسبه دترمینان ماتریس
- ابزار محاسبات ماتریسی