سنتز آورس
سنتز آورس (انگلیسی: Auwers synthesis) مجموعهای از واکنشهای شیمیایی در شیمی آلی است که طی آن یک فلاونول از یک بنزوفوران تولید میشود. این واکنش سنتز نخستین بار در سال ۱۹۰۸ توسط شیمیدان آلمانی کارل فونآورس کشف گردید.[1][2][3][4][5]

سنتز آورس
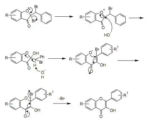
سازوکار واکنش
سازوکار این فرایند به صورت زیر است:

سازوکار واکنش
منابع
- K. Auwers, K. Müller, "Umwandlung von Benzal-cumaranonen in Flavonole", Chemische Berichte, 41, 4233–4241 (1908) (doi:10.1002/cber.190804103137).
- K. v. Auwers, P. Pohl, "Über die Umwandlung von Benzalcumaranonen in Flavonole", Liebigs Ann. Chem., 405, 243–294 (1914) (doi:10.1002/jlac.19144050302).
- K. v. Auwers, P. Pohl, "Eine Synthese des Fisetins", Chemische Berichte, 48, 85–90 (1915) (doi:10.1002/cber.19150480114).
- K. v. Auwers, "Zur Bildung von Flavonolen aus Benzal-cumaranonen", Chemische Berichte, 49, 809–819 (1916) (doi:10.1002/cber.19160490188).
- K. v. Auwers, E. Auffenberg, "Über Cumaranone und Hydrindone", Chemische Berichte, 52, 92-113 (1919) (doi:10.1002/cber.19190520114).
- مشارکتکنندگان ویکیپدیا. «Auwers synthesis». در دانشنامهٔ ویکیپدیای انگلیسی، بازبینیشده در ۹ فوریه ۲۰۱۷.
This article is issued from Wikipedia. The text is licensed under Creative Commons - Attribution - Sharealike. Additional terms may apply for the media files.