سنتز ایندول فیشر
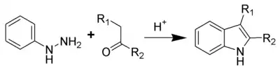
سنتز ایندول فیشر (انگلیسی: Fischer indole synthesis) واکنشی در شیمی آلی است که طی آن یک هتروسیکل ایندولی از واکنش یک آلدهید (یا کتون) با فنیلهیدرازین در محیط اسیدی تشکیل میشود. این واکنش نخستین بار در سال ۱۸۸۳ توسط شیمیدان آلمانی هرمان امیل فیشر کشف شد. امروزه این واکنش تر تولید داروهای ضد میگرن تریپتانی مورد استفاده قرار میگیرد.[1][2]

سنتز ایندول فیشر
| سنتز ایندول فیشر | |
|---|---|
| نامگذاری شده پس از | هرمان امیل فیشر |
| نوع واکنش | واکنشهای تشکیل حلقه |
| شناسهها | |
| در درگاه شیمی آلی | fischer-indole-synthesis |
| RSC ontology ID | RXNO:۰۰۰۰۰۶۴ |
منابع
- Fischer, E.; Jourdan, F. (1883). "Ueber die Hydrazine der Brenztraubensäure". Berichte der Deutschen Chemischen Gesellschaft. 16 (2): 2241–2245. doi:10.1002/cber.188301602141.
- Fischer, E.; Hess, O. (1884). "Synthese von Indolderivaten". Berichte der Deutschen Chemischen Gesellschaft. 17 (1): 559–568. doi:10.1002/cber.188401701155.
- مشارکتکنندگان ویکیپدیا. «Fischer indole synthesis». در دانشنامهٔ ویکیپدیای انگلیسی، بازبینیشده در ۹ مارس ۲۰۱۷.
This article is issued from Wikipedia. The text is licensed under Creative Commons - Attribution - Sharealike. Additional terms may apply for the media files.
