سنتز ونکر
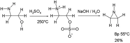
سنتز ونکر (انگلیسی: Wenker synthesis) یک واکنش شیمیایی آلی است که طی آن یک بتا آمینو الکل به کمک سولفوریک اسید به آزیریدین تبدیل میشود.[1]

سنتز ونکر
| سنتز ونکر | |
|---|---|
| نامگذاری شده پس از | Henry Wenker |
| نوع واکنش | واکنشهای تشکیل حلقه |
| شناسهها | |
| در درگاه شیمی آلی | wenker-synthesis |
منابع
- Henry Wenker (1935). "The Preparation of Ethylene Imine from Monoethanolamine". Journal of the American Chemical Society. 57 (1): 2328–28. doi:10.1021/ja01314a504.
This article is issued from Wikipedia. The text is licensed under Creative Commons - Attribution - Sharealike. Additional terms may apply for the media files.