سنتز پیرول هانش
سنتز پیرول هانش(به انگلیسی: Hantzsch pyrrole synthesis) یک نام واکنش شیمیایی است که به افتخار شیمیدان آلمانی آرتور رودولف هانش نامگذاری شدهاست.
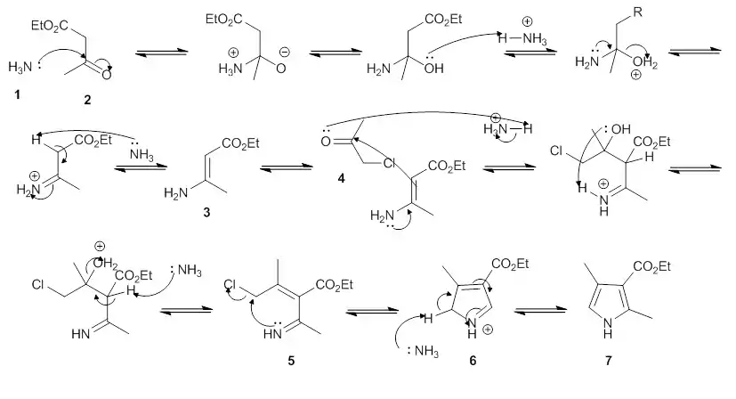
در طی این واکنش شیمیایی، یک بتا-کتواستر (۱) با آمونیاک (یا آمینهای اولیه) و یک آلفا-هالوکتون (۲) واکنش داده و یک استخلاف پیرول (۳) تشکیل میدهد.

سنتز پیرولول Hantzch
سازوکار واکنش
در زیر یک سازوکار منتشر شده برای این واکنش نشان داده شدهاست: [1]

مکانیسم سنتز Hantzsch Pyrrole
جستارهای وابسته
منابع
- Li, J.J. Name Reactions; 4th ed.; Springer-Verlag: Berlin, Germany, 2009; p. 276.
This article is issued from Wikipedia. The text is licensed under Creative Commons - Attribution - Sharealike. Additional terms may apply for the media files.