سنتز کنراد–لیمپاخ
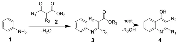
سنتز کنراد–لیمپاخ (انگلیسی: Conrad–Limpach synthesis) یک واکنش شیمیایی است که طی آن یک آنیلین(۱) با یک بتا-کتواستر(۲) در حضور یک باز شیف(۳) متراکم شده و یک ۴-هیدروکسیکینولین(۴) تولید میکند. این واکنش در حالت کلی ترکیبی از یک واکنش افزایشی و یک واکنش بازآرایی است. این واکنش نخستین بار توسط دو شیمیدان به نامهای مکس کنراد (۱۸۴۸–۱۹۲۰) و لئونهارد لیمپاخ (۱۸۵۲–۱۹۳۳) در سال ۱۸۸۷ در طی مطالعه ای پیرامون سنتز استخلافهای کینولین، کشف گردید.[1][2]

سنتز کنراد–لیمپاخ
سازوکار واکنش

New Conrad
منابع
- Conrad, M.; Limpach, L. synthesen von Chinolinderivaten mittelst Acetessigester. Ber. Dtsch. Chem. Ges. 1887, 20 (1), 944-948.
- Conrad, M.; Limpach, L. Ueber das γ‐Oxychinaldin und dessen Derivate. Ber. Dtsch. Chem. Ges. 1887, 20 (1), 948-959.
- مشارکتکنندگان ویکیپدیا. «Conrad–Limpach synthesis». در دانشنامهٔ ویکیپدیای انگلیسی، بازبینیشده در ۱۸ اکتبر ۲۰۱۹.
This article is issued from Wikipedia. The text is licensed under Creative Commons - Attribution - Sharealike. Additional terms may apply for the media files.