سنتز گابریل
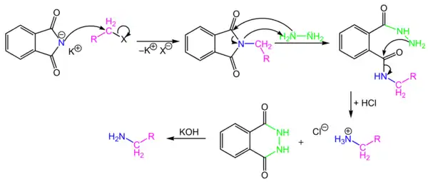
سنتز گابریل (انگلیسی: Gabriel synthesis) گونهای از واکنشهای شیمیایی است که طی آن آلکیل هالیدهای نوع اول به آمین نوع اول تبدیل میشود. این واکنش به افتخار شیمیدان آلمانی زیگموند گابریل نامگذاری شده است.

سازوکار واکنش سنتز گابریل
| سنتز گابریل | |
|---|---|
| نامگذاری شده پس از | زیگموند گابریل |
| نوع واکنش | واکنشهای جانشینی |
| شناسهها | |
| در درگاه شیمی آلی | gabriel-synthesis |
| RSC ontology ID | RXNO:۰۰۰۰۱۰۳ |
منابع
- مشارکتکنندگان ویکیپدیا. «Gabriel synthesis». در دانشنامهٔ ویکیپدیای انگلیسی، بازبینیشده در ۲۹ دسامبر ۲۰۱۶.
This article is issued from Wikipedia. The text is licensed under Creative Commons - Attribution - Sharealike. Additional terms may apply for the media files.