عکسبرداری هوایی
عکسبرداری هوایی (به انگلیسی: Aerial photography) به تکنیک برداشت عکس از سطح زمین از نقاط مرتفع گفته میشود. این اصطلاح اغلب در مورد عکسهایی بهکار میرود که از هوا برداشت شدهاست. عکسهوایی عبارت است از یک تصویر واقعی از عوارض و خصوصیات ظاهری سطح زمین که توسط هواپیما و با استفاده از یک دوربین عکسبرداری هوایی گرفته شدهاست. استفاده از عکسهای هوایی به منظور بررسیها و مطالعات زمینشناسی، جادهسازی، شهرسازی، کشاورزی، مدیریت منابع طبیعی، حفاظت از محیط زیست و مهمتر از همه برای تأمین اهداف نظامی و امنی رایج است. در گذشته در بسیاری از کشورها از عکسهای هوایی به جای نقشه اصلی در صحرا استفاده میکردند.



تاریخچه
فلیکس نادار، عکاس برجستهٔ فرانسوی، بهوسیلهٔ بالن بسیار بزرگی به نام «غول»، نخستین عکس هوایی جهان را از فراز پاریس گرفت.[1]
دوربینهای عکسبرداری هوایی
دوربینهای عکسبرداری هوایی تجهیزاتی هستند که برای تهیه عکسهای هوایی مورد استفاده قرار میگیرند. این دوربینها معمولاً از ابعاد بزرگ برخوردار هستند. دوربینهای عکسبرداری هوایی دارای فاصله کانونی ثابت هستند و عدسی به کار رفته در آنها از نوع متریک میباشد. عدسی متریک به عدسی گفته میشود که اعوجاج آن ثابت بوده و از ۲۰ میکرون کمتر باشد. این دوربینها معمولاً بر روی کف هواپیما نصب میگردند و امکان تراز نمودن آنها وجود دارد. دوربینهای هوایی مورد استفاده در عکسبرداری هوایی تاکنون عمدتاً از نوع دوربینهای آنالوگ بودند. (دوربینهایی که از فیلم استفاده میکنند). امروزه دوربینهای عکسبرداری هوایی رقومی نیز به بازار ارائه شده و به مرور در پروژههای عکسبرداریهای مورد استفاده قرار میگیرند.

دوربینهای آنالوگ
دوربینهای عکسبرداری هوایی آنالوگ معمولاً دارای ابعاد ۲۳ * ۲۳ سانتیمتر میباشند. دوربینهای عکسبرداری هوایی دارای پنج قسمت اصلی زیر هستند:
- پایه اتصال به بدنه: این پایه ضمن جلوگیری از انتقال لرزش هواپیما به دوربین، امکان تراز کردن دوربین را نیز فراهم میآورد.
- بدنه و عدسی: عدسی مهمترین بخش یک دوربین عکسبرداری هوایی میباشد.
- سیستم کنترل: این سیستم امکان عکسبرداری متوالی و تنظیم نوردهی فیلم را فراهم میآورد.
- مخزن فیلم: مخزن فیلم قابل جدا کردن از دوربین میباشد. با سیستم تخلیه هوا فیلم در لحظه عکسبرداری به صورت کاملاً تخت قرار میگیرد.
- چشمی ناوبری: با استفاده از این چشمی، عکاس امکان تنظیم پوشش طولی و حذف زاویه دریفت را دارد.

از انواع دوربینهای عکسبرداری هوایی آنالوگ میتوان به دوربین Leica RC30/ASCOT اشاره کرد.

دوربینهای رقومی
دوربینهای عکسبرداری هوایی رقومی با ابعاد بزرگ یا متوسط برای اولین بار در سال ۲۰۰۲ در نمایشگاه ISPRS شهر آمستردام به صورت تجاری به بازار عرضه گردیدند. این دوربینها از نظر نوع CCD مورد استفاده به دو نوع دوربین با آرایه خطی و آرایه سطحی تقسیمبندی میگردند.
دوربینهایی که از آرایه خطی استفاده مینمایند بسیار مشابه سیستمهای تصویر برداری ماهوارهها میباشند. در این دوربینها بهرهگیری از گیرنده تعیین موقعیت ماهوارهای GPS و تجهیزات تعیین وضعیت IMU ضروری میباشد. از انواع این نوع از دوربینهای عکسبرداری هوایی رقومی میتوان به دوربینهای Leica ADS ۸۰ و DiMac اشاره کرد.
دوربینهایی که از آرایههای سطحی استفاده میکنند کم و بیش تصاویری با هندسه مشابه دوربینهای آنالوگ تولید میکنند. بهرهگیری از تجهیزات تعیین موقعیت ماهوارهای و تعیین وضعیت اگرچه مزایایی به همراه دارد اما در این دوربینها به عنوان یک ضرورت مطرح نمیباشد. از انواع این دوربینها میتوان به دوربینهای Vexel Ultracam و DMC اشاره نمود.
عکسبرداری هوایی در ایران
در ایران در سال ۱۳۳۱ از حوزه زاینده رود اصفهان عکسهای هوایی برداشته شد و عکسبرداری توسط شرکت K.L.M به منظور انجام امور عمرانی آن حوزه انجام گرفت. در سال ۱۳۳۴ به منظور تهیه نقشه صحیح از کلیه استانها کشور عکسبرداری هوایی شروع گردید. از سال ۱۳۳۲ با آغاز فعالیت سازمان نقشهبرداری کشور به صورت پیوسته از مناطق مختلف ایران عکسبرداری هوایی انجام گرفتهاست. در حال حاضر آرشیوی مشتمل بر ۸۰۰۰ حلقه فیلم هوایی بالغ بر دو میلیون قطعه عکس هوایی از مناطق مختلف کشور تهیه گردیده که به صورت مرتب در زمینههای مختلف از جمله فعالیتهای تحقیقاتی و ارجاع به مراجع قضائی مورد استفاده قرار میگیرند. بهطور کلی از تمامی مناطق کشور عکسهای هوایی در مقیاسهای پنجاه و پنج هزارم مربوط به دهه ۳۰ هجری شمسی، بیست هزارم مربوط به دهه چهل و چهل هزارم مربوط به دهه هفتاد و همچنین عکسهای هوایی دههزارم یا پنج هزارم از اکثر شهرهای کشور موجود میباشد.
نحوه عکسبرداری هوایی
عکسبرداری هوایی، به وسیلهٔ یک دوربین عکسبرداری هوایی که به طرف زمین در هواپیما نصب میشود، صورت میگیرد. نوع دوربین، مسیر خطوط پرواز و ارتفاع پرواز طوری طراحی و برنامهریزی میگردند که عکس مورد نظر بدست آید. سپس دوربین بهطور اتوماتیک در فواصل معین عکسبرداری میکند. در حاشیه عکس، شماره عکس و شماره حلقه فیلم و فاصله کانونی عدسی دوربین، ارتفاع پرواز و مقیاس تقریبی عکس و تاریخ عکسبرداری و زاویه محور نوری دوربین با خط قائم بر زمین چاپ میگردد.
اصول برجسته بینی در عکس هوایی
یک از تفاوتهای اصلی عکسهای هوایی که به منظور تفسیر و تهیه نقشه برداشته میشود با عکسهای معمولی، امکان برجستهبینی یعنی تشخیص بعد سوم (اختلاف ارتفاع) از روی آنها و با کمک وسائل برجستهبینی میباشد. معمولاً عکسهای هوائی بهطور متوسط دارای ۶۰ درصد پوشش مشترک پشت سر هم و عکسهای هر نوار (مسیر پرواز هواپیما)که با نوار مجاور دارای پوشش مشترک جانبی ۳۰ درصد میباشد که پوشش مشترک اولی امکان برجستهبینی را به یک جفت عکس پشت سر هم میدهد.
مکانسیم برجسته بینی (درک عمق و فاصله) در انسان

هر چشم یک تصویر با یک زاویه را جداگانه مشاهده و هر دو در مغز انسان تشکیل یک تصویر کامل را داده که به این ترتیب ممکن است به کیفیت اجسام، فاصله، عمق و اندازه آنها پی برد و محاسبات لازم را انجام داد. در دید معمولی فاصله اجسام بستگی به زاویهای دارد که هر دو چشم با نقطه مورد نظر تشکیل میدهد. با توجه به شکل روبرو زوایای A و B نسبت مستقیم به فاصله بین اجسام ۱ و ۲ دارد. این زوایا در روی شبکیه به صورت کمانهای a و b اندازهگیری میشوند. حداقل گمانی که هر فرد میتواند مشاهده کند آن را معیار درک عمق میدانند. برای درک بهتر دید با یک چشم یا دو چشم آزمایشهای ساده پایین را تجربه کنید.
- آزمایش اول: یک سکه را بر روی میز قرار دهید و با یک چشم و از سطحی معادل سطح میز به آن نگاه کنیم و سعی نمائیم که انگشت خود را از بالا روی آن بگذریم در خیلی از موارد اشتباه خواهد شد و انگشت ممکن است کم و بیش در حوالی سکه جای بگیرید.
- آزمایش دوم: دو انگشت اشاره خود را در جلو (۲۵ سانتیمتر) چشم قرار داده و به تدریج آنها رو بهم نزدیک کنید در حالی که سعی میشود با چشم راست به انگشت اشاره دست راست و با چشم چپ به انگشت اشاره دست چپ نگاه کنیم به تدریج که انگشتان بهم نزدیک میشوند و قبل از این که عملاً بهم برسند این احساس حاصل میشود که انگشتان بر روی یکدیگر قرار گرفتهاند در حالی که عملاً در این مرحله هنوز چند سانتیمتر فاصله بین این دو وجود دارد.
عمل انطباق در چشم منحصراً فیزیولوژیکی و تجسمی است در واقع دو عکس مسطح و مختلف از جسمی که بر روی شبکیه هر یک از چشمها منعکس شده تبدیل به یک عکس برجسته خیالی میگردد این عمل در دستگاه اعصاب (مغز) نیز انجام میشود.
اصول برجستهبینی
برای اینکه بتوان دو تصویر تهیه نمود که قابلیت برجستهبینی داشته باشند، باید چهار شرط اصلی زیر در مورد آنها صدق کند:
الف) هر دو تصویر مورد برجسته بینی، یک منطقه را بپوشاند.
ب) مقیاس هر دو تصویر تقریباً با هم مساوی باشد.
ج) محورهای دوربین عکسبرداری در هر دو تصویر در یک صفحه قرار گیرند.
د) فاصله بین دو ایستگاه عکسبرداری، با مقایسه با فاصله دوربین تا تصویر، متناسب باشد.
دید کاذب (Pseudoscopic view) حالتی است که انسان در موقع مشاهده دو تصویر، کلیه عوارض برجسته را فرورفته و برعکس فرورفتگیها را برجسته میبیند. علت این پدیده عبارتست از:
الف) چنانچه جای تصویر سمت راست و چپ با هم عوض شده باشند.
ب) اگر مسیر تابش نور در موقع دید با جهت نور هنگام عکاسی مطابقت نداشته باشد یا به عبارت دیگر، سایهها مخالف جهت تفسیرکننده قرار گیرند.
سیستمهای برجستهبینی
۱- آناگلیف (Anagliph):
در این سیستم، دو عکس از یک منظره با دو رنگ مکمل که معمولاً قرمز و آبی هستند، بر روی هم چاپ یا روی صفحهای تصویر میشوند. سپس با نگرش از درون دو فیلتر به همان رنگها که ممکن است مانند عینک به چشم بزنند، دو تصویر از هم جدا شده و با هر چشم یک تصویر مستقل به مغز منتقل و از آنجا، با توجه به اصول برجسته بینی، تصویر سه بعدی مشاهده میشود. از مشکلات این روش پایین بودن کیفیت و روشنی تصویر میباشد.
۲- وکتوگراف (Vectograph): در این سیستم از نور پلاریزه استفاده میشود. این روش نیز مشابه روش فوق است با این تفاوت که تفکیک دو تصویر به وسیلهٔ عمل پلاریزه انجام میشود. یکی از تصاویر با ۴۵ درجه زاویه نسبت به افق پلاریزه میشود و فقط میتواند با عدسی مشاهده گردد که دارای نور پلاریزه ۴۵ درجهای ولی برعکس باشد و دیگری دارای زاویه ۹۰ درجه نسبت به اولی است که میتواند از درون عدسی برعکس عدسی اول دیده شود؛ لذا با ایجاد دو تصویر جداگانه از یک صحنه و استفاده از این روش در مرکز بینایی، باعث عمق سه بعدی میگردد. این سیستم در مسائل مربوط به تهیه نقشه جایی نداشته و فقط آسانی مشاهده آن به وسیلهٔ هر فردی، از مزایای این روش میباشد.

۳- تری ویژن (Trivision): این عکسها بدون کمک هر وسیلهای میتوانند به صورت برجسته دیده شوند. جدایی تصویر به صورت مکانیکی و استفاده از کاغذهای مخصوص که روی آنها را سطح نازک و موجداری پوشانیده، انجام میگردد. این تصاویر را معمولاً از فواصل کم و با دوربینهایی با زاویه خیلی باز و فیلم مخصوص میگیرند. این سیستم در تهیه نقشه مصرفی ندارد و فقط به لحاظ تبلیغاتی یا تهیه مناظر زیبا برای دکور بکار میرود.
۴- سیستم هولوگرافی (Holographic System): در این نوع بازسازی مدلهای برجسته یا 3D، از اشعه لیزر استفاده میگردد و مشاهده تصویر سه بعدی نیز به سادگی انجام میشود.
اطلاعات حاشیهای عکسهای هوایی
- شماره عکس: همراه با شماره پشت سرهم در پارهای از موارد شماره نوار یا شماره بلوک مورد عکسبرداری ذکر میگردد. این شمارهها برای تنظیم و استفاده از عکسهای هوائی کمال ضرورت را دارد.
- فاصله کانونی: معمولاً بر حسب میلیمتر تا صدم آن در حاشیه عکس هوائی نوشته یا چاپ میشود؛ که برای محاسبه مقیاس عکس ضروری است.
- علائم کناری عکس (Fiducial Marks): این علائم معمولاً به صورت ضربدر در گوشه عکسهای هوائی یا شکاف مثلثی شکل در وسط اضلاع ممکن مشخص میگردد.
- آلتیمتر: ارتفاع سنج که ارتفاع پرواز هواپیما رو نسبت به سطح مبدأ که عموماً آب دریاهای آزاد میباشد نشان میدهد.
- ساعت : به لحاظ اطلاع از زمان دقیق عکسبرداری نیز تجزیه وتحلیل سایه اهمیت دارد.
- تراز: برای نشان دادن میزان تقریبی انحراف دوربین در حین پرواز و عکسبرداری
- شماره دوربین: در بررسیهای دقیقتر عکسهائی هوائی مورد استفاده است.
مقیاس عکسهوایی
مقیاس عکسهوایی، عبارت است از نسبت یک فاصله معین بر روی یک عکسهوایی (عکسهوایی تقریباً قائم) به همان فاصله بر روی سطح زمین. مقیاس را معمولاً به صورت یک کسر (۱/۵۰۰۰۰) یا به صورت یک تقسیم (۱:۵۰۰۰۰) مینویسند.
مقیاس ۱:۵۰۰۰۰ یعنی یک سانتیمتر بر روی عکس یا نقشه معادل با ۵۰۰۰۰ سانتیمتر یا ۵۰۰ متر بر روی زمین میباشد. در یک عکسهوایی که از مناطق غیر مسطح گرفته شده، مقیاس در نقاط مرتفعتر بزرگتر و در نقاط پایینتر کوچکتر است. علت آن است که نقاط مرتفع به دوربین نزدیکتر از نقاط پایینتر هستند. در حالیکه مقیاس یک نقشه در سرتاسر نقشه یکسان است.

محاسبه مقیاس متوسط عکسهوایی
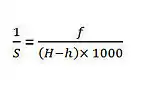
الف) استفاده از رابطه روبرو
- در این فرمول f عبارت است از فاصله کانونی دوربین عکسبرداری
- (H - h) عبارت است از ارتفاع متوسط پرواز هواپیما تا سطح عکسبرداری شده
ب) اندازهگیری یک فاصله بر روی سطح زمین و اندازهگیری همان فاصله بر روی عکسهوایی
ج) کمک گرفتن از یک نقشه توپوگرافی
تفاوت تصاویر ماهوارهای با عکسهای هوایی
مهمترین تفاوت بین یک تصویر ماهوارهای با یک عکسهوایی در وسعت منطقه زیر پوشش است. مثلاً یک کوادرانت عکس ماهوارهای، گاهی وسعتی در حدود ۷۰۰ تا ۸۰۰ عکسهوایی در مقیاس ۱:۲۰۰۰۰ را در بر میگیرد. به عبارت دیگر برای داشتن دید کلان نسبت به یک منطقه بهتر است از تصاویر ماهوارهای استفاده کرد. زمان تفسیر یک تصویر ماهوارهای خیلی کمتر از یک عکسهوایی است. از دیگر مزایای تصاویر ماهوارهای میتوان به قیمت ارزانتر آنها در مقایسه با عکسهای هوایی اشاره کرد.
از دیگر تفاوتهای تصاویر ماهوارهای با عکسهای هوایی میتوان به تکرارپذیری تصاویر ماهوارهای، چند طیفی بودن تصاویر ماهوارهای و قدرت تفکیک طیفی بهتر تصاویر ماهوارهای اشاره کرد. از سوی دیگر عکسهای هوایی معمولاً قدرت تفکیک مکانی بهتری دارند.
تفاوت عکس هوایی با نقشه از نقطه نظر تصویر
نقشه، یک تصویر قائم از سطح زمین است. این تصویر به یک نسبت معین (که اصطلاحاً مقیاس نقشه نامیده میشود) کوچک شدهاست. به عبارت بهتر، پرتوهایی که نقاط روی سطح زمین را بر روی سطح یک نقشه تصویر میکنند موازی یکدیگر بوده و در نتیجه تصویر حاصل به یک نسبت مشخص کوچک میشود؛ ولی عکسهوایی یک تصویر مرکزی است و پرتوهایی که نقاط روی سطح زمین را بر روی فیلم دوربین تصویر میکنند همگی از یک نقطه به نام مرکز تصویر (مرکز پرسپکتیو) عبور میکنند. تصویر مرکزی اساساً ماهیتی سهبعدی دارد و به همین علت، اندازهگیری اختلاف ارتفاع بین عوارض گوناگون، با استفاده از یکسری تجهیزات ویژه، امکانپذیر است.
مقیاس یک نقشه در سرتاسر سطح یک نقشه، ثابت است در حالیکه مقیاس یک عکسهوایی در سرتاسر سطح آن یکسان نیست. یکسان نبودن مقیاس در سطح یک عکسهوایی به علت یکسان نبودن ارتفاع نقاط گوناگون در سطح عکس رخ میدهد.
ارتفاع نقاط گوناگون بر روی سطح یک نقشه به روشهای متنوعی نوشته میشود یا به نمایش درمیآید، در صورتی که اندازهگیری اختلاف ارتفاع نقاط بر روی عکسهای هوایی، احتیاج به تخصص، مهارت و تجهیزات ویژه دارد.
از سوی دیگر، عوارض قراردادی مانند مرزهای سیاسی، تقسیمات کشوری، اسامی عوارض و … بر روی نقشهها نوشته میشوند، در حالی که یک عکسهوایی فاقد این نوع از اطلاعات است.
منابع
- فلیکس نادار؛ نخستین عکاس سلبریتی در جهان، بیبیسی فارسی
نشریه نقشهبرداری شماره ۷۹ سال ۱۳۸۵
مصاحبه کوتاهی با نخستین عکاس هنری- هوایی ایران
- سیستم اطلاعات جغرافیائی (GİS) در فائو
- نقشهبرداری-انتشارات دانشگاه علم وصنعت
- دورتی هارپر - چشمی در آسمان - ترجمه دالکی - احمد قادری - مرتضی تهران - مرکز نشر دانشگاهی ۱۳۶۳
- ریچاردی - عکسهای هوایی - ترجمه وامفی ابوالقاسم - تهران مرکز نشر دانشگاهی ۱۳۶۷
جستارهای وابسته
| در ویکیانبار پروندههایی دربارهٔ عکسبرداری هوایی موجود است. |
پیوند به بیرون
عکس هوایی، ویکیپدیا
