لودوکسامید
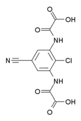
لودوکسامید (به انگلیسی: Lodoxamide) با فرمول شیمیایی C۱۱H۶ClN۳O۶ یک ترکیب شیمیایی با شناسه پابکم ۴۴۵۶۴ است. که جرم مولی آن ۳۱۱٫۶۳۴۸۴ g/mol میباشد.
| لودوکسامید | |
|---|---|
![]() | |
2-[2-chloro-5-cyano-3-(oxaloamino)anilino]-2-oxoacetic acid | |
| شناساگرها | |
| شماره ثبت سیایاس | 53882-12-5 |
| پابکم | 44564 |
| ChEMBL | CHEMBL1201266 |
| جیمول-تصاویر سه بعدی | Image 1 |
SMILES
| |
| خصوصیات | |
| فرمول مولکولی | C11H6ClN3O6 |
| جرم مولی | 311.63484 |
| به استثنای جایی که اشاره شدهاست در غیر این صورت، دادهها برای مواد به وضعیت استانداردشان داده شدهاند (در 25 °C (۷۷ °F)، ۱۰۰ kPa) | |
| | |
| Infobox references | |
|
| |
جستارهای وابسته
This article is issued from Wikipedia. The text is licensed under Creative Commons - Attribution - Sharealike. Additional terms may apply for the media files.
