متیللیزوسیترات لیاز
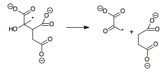
متیللیزوسیترات لیاز (به انگلیسی: Methylisocitrate lyase) یک آنزیم است که واکنش شیمیایی زیر را کاتالیز میکند:
- (۲اس، ۳آر)-۳-هیدروکسیبوتان-۱٬۲٬۳-تریکربوکسیلات پیرووات + سوکسینات

همانطور که از واکنش بالا مشخص است، این آنزیم ۱ سوبسترا و ۲ محصول (پیرووات و سوکسینات) دارد.
این آنزیم که در سال ۱۹۷۶ میلادی کشف شد،[1] عضوی از خانوادهٔ لیازها (بهطور دقیقتر: اُکسو-اسید-لیازها) است که پیوندهای میان کربن-کربن را میشکند.
متیللیزوسیترات لیاز در چرخهٔ متیلسیترات کاربرد دارد[2] که یک شکل تعدیلشدهٔ چرخهٔ کربس است که بهجای استیل-کوآ، کوآنزیم آ را متابولیزه میکند. این آنزیم نقش تنظیمکننده در چرخهٔ یادشده دارد و نیکوتینآمید آدنین دینوکلئوتید آنرا فعال کرده؛ اما نیکوتینآمید آدنین دینوکلئوتید و نیکوتینآمید آدنین دینوکلئوتید فسفات آنرا مهار میکنند.[3]
منابع
- Tabuchi T, Satoh T (1976). "Distinction between isocitrate lyase and methylisocitrate lyase in Candida lipolytica". Agric. Biol. Chem. 40 (9): 1863&ndash, 1869. doi:10.1271/bbb1961.40.1863.
- Upton AM, McKinney JD (December 2007). "Role of the methylcitrate cycle in propionate metabolism and detoxification in Mycobacterium smegmatis". Microbiology. 153 (Pt 12): 3973–82. doi:10.1099/mic.0.2007/011726-0. PMID 18048912.
- Tabuchi T, Satoh T (1977). "Purification and properties of methylisocitrate lyase, a key enzyme in propionate metabolism, from Candida lipolytica". Agric. Biol. Chem. 41: 169&ndash, 174. doi:10.1271/bbb1961.41.169.
- مشارکتکنندگان ویکیپدیا. «Methylisocitrate lyase». در دانشنامهٔ ویکیپدیای انگلیسی.
| در ویکیانبار پروندههایی دربارهٔ متیللیزوسیترات لیاز موجود است. |
This article is issued from Wikipedia. The text is licensed under Creative Commons - Attribution - Sharealike. Additional terms may apply for the media files.