مزدوج فاز نوری
مزدوج فاز نوری فرایندی است که از آن برای حذف ابیراهی سیستمهای نوری مشخص میتوان استفاده کرد. ماهییت این فرایند در شکل زیر تصویر شدهاست. قسمت (الف) شکل، موج نوری را نشان میدهدکه عمود بر آینه فلزی میتابد. میبینیم که جلوترین قسمت جبهه موج فرودی بعد از بازتاب نیز جلوترین قسمت جبهه موج بازتابی خواهد ماند. قسمت (ب) شکل همان جبهه موج را نشان میدهد که به یک آینه مزدوج فاز برخورد میکند. در این حالت جلوترین قسمت جبهه موج فرودی در فرایند انعکاس به قسمت عقب افتاده جبهه موج تبدیل میشود. به این دلیل به فرایند مزدوج فاز به عنوان وارون ساز جبهه موج اشاره میشود. البته جبهه موج فقط در انعکاس عمودی وارون میشود. در واقع جبهه موج تولید شده تکرار جبهه موج فرودی است که در جهت مخالف منتشر میشود. به این دلیل گاهی اوقات به فرایند مزدوج فاز نوری به عنوان فرایند تولید جبهه موج وارون شده زمانی اشاره میشود.

توصیف ریاضی
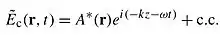
موج فرودی (سیگنال) بر آینه مزدوج فاز نوری را به صورت نشان میدهیم.
موقعی که آینه مزدوج فاز با چنین موجی روشن میشود، موج باز تابیدهای را ایجاد میکند که موج مزدوج فاز نامیده میشود. و با رابطه زیر توصیف میشود.
که r ضریب بازتابش آینه را نشان میدهد. به منظور مشخص نمودن اهمیت جابجای Es با مزدوج مختلط ش در فرایند بازتابش نمایش Es به صورت زیر مفید است.

در رابطه فوق ϵs بردار یکه قطبش را نشان میدهد. As دامنه میدان کند تغییر و Ks بردار موج متوسط نور فرودی است. مزدوج موهومی معادله فوق با رابطه زیر نشان داده میشود.
اثر یک آینه مزدوج فاز به سه طریق است.
1- بردار یکه قطبش موهومی تابش فرودی با مزدوج موهومی اش جابجا میشود. مثال نور دایروی راستگرد در بازتاب از این آینهها دایروی راستگرد باقی میماند.
2- (A(r که با مزدوج مختلطش جابجا میشود دلالت بر آن دارد که موج جلو رونده به صورتی که در شکل نشان داده شده وارون میشود.
3- Ks با Ks- جابجا میشود. که نشان میدهد موج فرودی روی راستای تابش خود بازتاب میشود.
از معادلات ذکر شده میتوان نتیجه گرفت که:

یعنی فرایند مزدوج فاز را میتوان فرآیندی دانست که موج جلورونده وارون شده نسبت به زمان را تولید میکند.
تصحیح ابیراهی توسط مزدوج فاز نوری
فرایند مزدوج فاز قادر است تحت شرایطی که باریکه نور دو بار و در جهات مخالف از از یک محیط منحرفکننده عبور نماید اثرات ابیراهی را حذف کند. مطابق شکل زیر جبهه موج تخت منتشر شده در محیط منحرفکننده پس از ترک محیط دچار اعوجاج میشود. اگر این جبهه موج بر آینه مزدوج فاز نوری بتابد جبهه موج مزدوجی تولید میشود که و حالت اعوجاج در این جبهه موج بازتابیده وارون میشود. با عبور دوباره این جبهه موج از محیط منحرفکننده موج خروجی بدون اعوجاج طاهر میشود.

توصیف ریاضی:
شکل زیر را در نظر بگیرید.

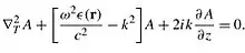
موج (E(r,t را که در محیط بدون نقص و با ضریب شکست غیر یکنواخت (n(r منتشر میشود. میدان نوری در این ناحیه باید از معادله زیر پیروی کند.
میدانی را که به سمت راست منتشر میشود به صورت زیر نشان میدهیم.

عملگر لاپلاسی را به شکل زیر در نظر میگیریم.

در نتیجه:
با توجه به بر قرار بودن معادله فوق در حالت کلی بنابراین مزدوج موهومی این معاله نیز بر قرار است پس:
معادله فوق موج زیر را توصیف میکند.
در واقع این موجی است که در جهت منفی z منتشر میشودودامنه موهومی آن در همه جا مزدوج موهومی موج منتشر شده در جهت مثبت z است. فرایند مزدوج فاز برای حذف ابیراهی در عبور دوگانه بهطور مستقیم مناسب است، اما در شرایط خاصی میتوان از عبور یگانه برای حذف ابیراهی استفاده کرد.
منابع
- «بر گرفته از اپتیک غیر خطی» رابرت بوید، ترجمه: محمد ابراهیم عطاران کاخکی