ملانوتان II
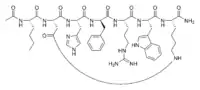
ملانوتان II (به انگلیسی: Melanotan II) با فرمول شیمیایی C۵۰H۶۹N۱۵O۹ یک ترکیب شیمیایی با شناسه پابکم ۹۲۴۳۲ است. که جرم مولی آن ۱۰۲۴٫۱۸ g/mol میباشد.
| Melanotan II | |
|---|---|
![]() | |
دیگر نامها
| |
| شناساگرها | |
| شماره ثبت سیایاس | 121062-08-6 |
| پابکم | 92432 |
| کماسپایدر | 83450 |
| MeSH | melanotan-II |
| ChEMBL | CHEMBL430239 |
| IUPHAR ligand | 1323 |
| |
| خصوصیات | |
| فرمول مولکولی | C50H69N15O9 |
| جرم مولی | 1024.180 |
| به استثنای جایی که اشاره شدهاست در غیر این صورت، دادهها برای مواد به وضعیت استانداردشان داده شدهاند (در 25 °C (۷۷ °F)، ۱۰۰ kPa) | |
| | |
| Infobox references | |
|
| |
جستارهای وابسته
This article is issued from Wikipedia. The text is licensed under Creative Commons - Attribution - Sharealike. Additional terms may apply for the media files.
