ناهمسانگردی
اگر خصوصیتی به جهتگیری آن در فضا بستگی داشته باشد، آن خصوصیت ناهمسانگرد (انیزوتروپ) است. توابع تانسوری ناهمسانگرد هستند.

مواد همسانگرد و ناهمسانگرد: مواد همسانگرد به موادی اطلاق میشود که خاصیتهای آن از جمله ضریب پوآسون و مدول کشسانی و ضریب هدایت حرارتی و … مستقل از جهت میباشد. به زبانی دیگر مواد درصورت همسانگردبودن حتماً همگن اندولی خلاف این مطلب همواره درست نمیباشد. به صورت کلی در تعریف خواص حرارتی و مکانیکی مواد همسانگرد تنهایک ضریب پوآسون و مدول کشسانی، ضریب هدایت حرارتی ضروری است. مواد ناهمسانگرد نیز موادی اند که خواص آنها در جهتهای مختلف تغییرمیکند و برای تحلیل این مواد باید خواص آن را در جهات مختلف بیان کرد. در مواد همسانگرد خواص در تمامی جهتها یکسان میباشد؛ بنابراین بینهایت صفحه تقارن برای خواص مواد موجود است.
کشسانی در مواد ناهمسانگرد و همسانگرد
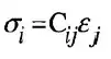
قانون هوک به صورت زیر مطرح میشود:
C_ij ماتریس سفتی ماده است که دارای ۳۶ درایه میباشد. از این ۳۶ درایه به علت وجود تقارن در ماتریس C_ij فقط ۲۱ درایهٔ مستقل وجود دارد. درصورت وجود صفحه یا صفحات تقارن در خاصیتهای جسم این تعداد درایه کم میشود.
مواد با توجه به تعداد صفحات تقارن در آنها به چند گروه تقسیم میشوند که در ذیل قانون هوک را برای آنها مینویسیم:
۱) موادی که بدون صفحه تقارن اند (Anisotropic):
۲) موادی که شامل صفحه تقارن اند (Monoclinic):
۳) موادی که شامل سه صفحه تقارن اند (Orthotropic):
۴) موادی با همسانگردی عرضی (Transversely Isotropic): این مواد مثل مواد ایزوتروپ دارای ۳ صفحه تقارن اند با این فرق که خواص در دو امتداد آن برابر هست.
۵) موادی که دارای بینهایت صفحه تقارن اند (Isotropic):
ایزوتروپیکها موادی با خاصیتهای همسانگردیاند.
ارتوتروپیکها وغیرایزوتروپیکها و ایزوتروپ عرضی ومنوکلینیکها موادی با خاصیت غیرهمسانگردیاند. تعداد مؤلفههای ماتریس سختی مواد در جدول زیر مطرح شدهاست:
به این دلیل که بحث ما پیرامون مواد کامپوزیتی است و کامپوزیتها بیشتر ارتوتروپ اند، مؤلفههای ماتریس سختی را برای این مواد به صورت مینویسیم:

