نظریه صف
نظریهٔ صَف (به انگلیسی: Queueing theory) به معنی مطالعه ریاضی یک ردیف در حال انتظار یا صف است.[1] مدل صف ساخته شده تا بتوان از طریق آن طول صف و زمان انتظار را پیش بینی نمود.[1] نظریه صف عموماً شاخه ای از تحقیق در عملیات شناخته می شود زیرا نتایج معمولا هنگام تصمیم گیری در مورد منابع مورد نیاز برای ارائه خدمات استفاده می شوند.
نظریه صف در ابتدا ریشه در تحقیقات ارلانگ دارد. زمانی که او مدل هایی را برای توصیف سیستم در شرکت تبادلات تلفنی کپنهاگ که یک شرکت دانمارکی است، انجام میداد این نظریه شکل گرفت.[1] این ایده ها از آن زمان دارای کاربردهایی از جمله مخابرات، مهندسی ترافیک، محاسبات[2] و به ویژه در مهندسی صنایع در طراحی کارخانه ها، مغازه ها، دفاتر و بیمارستان ها و همچنین در مدیریت پروژه بوده است.[3] [4]
بررسی کردن
بررسی "صف بندی" در "صف" به طور معمول در زمینه تحقیقات دانشگاهی مشاهده می شود.در واقع ، یکی از برجسته ترین ژورنال های این حرفه ، سیستم های صف است.
گره های تک صف
یک صف یا گره دارای صف را می توان تقریباً یک جعبه سیاه دانست. مشاغل یا "مشتریان" به صف می رسند ، احتمالاً مدتی صبر می کنند ، مدتی پردازش می کنند و سپس از صف خارج می شوند (شکل 1 را ببینید).

از آنجا که اطلاعاتی در مورد داخل گره دارای صف وجود دارد که باید مشخص کنیم ، گره دارای صف کاملا یک جعبه سیاه خالص نیست. این صف دارای یک یا چند "سرور" است که هر کدام را می توان با یک کار ورودی تا زمان ترک آن جفت کرد ، و پس از آن آن سرور آزاد خواهد بود که با یک کار ورودی دیگر جفت شود (شکل 2 را ببینید).

تشبیهی که اغلب مورد استفاده قرار می گیرد ، صندوقدار یک سوپرمارکت است. مدل های دیگری نیز وجود دارد ، اما این نمونه ای است که در نوشته ها معمولاً دیده می شود. مشتریان می رسند ، توسط صندوقدار کارشان انجام می شود و مي روند. هر صندوقدار همزمان کاریک مشتری را انجام مي دهد و از این رو مشابه یک گره داراي صف است که فقط یک سرور دارد.
نظیماتی که در صورت مشغول بودن صندوقدار هنگام ورود مشتری ، مشتری فوراً آنجا را ترک خواهد کرد ، به عنوان صف بدون بافر (یا بدون "منطقه انتظار" یا شرایط مشابه) شناخته می شود. و به یک تنظیم با منطقه انتظار برای حداکثر n مشتری ، صف با بافر اندازه n گفته می شود.
شناخت یک سیستم صف
برای شناختِ یک سیستم صف، باید شش بخش را بشناسیم:
- الگوی ورود مشتریان (کلایِنت)
- الگوی روشِ خدمتدهندگان (سِروِرها)
- نظمِ صف
- ظرفیتِ سیستم
- تعدادِ کانالهای سرویس
مشتری و خدمتدهنده
در تئوری صف، مشتری واژهای عام است که برای موجودیتی بهکار میرود که برای دریافتِ خدمت، به سیستمی که این خدمت را فراهم میکند وارد میشود. مکانیزم یا ابزاری که اینچنین خدمت یا خدماتی را در اختیارِ مشتری قرار میدهد، سِروِر یا خدمتدهنده نام دارد.
فرایند تولد و مرگ
رفتار / وضعیت یک صف واحد (که " گره صف " نیز نامیده میشود) را میتوان با یک فرایند تولد-مرگ توصیف کرد ، که ورود و خروج از صف را در طول تعدادی کار (که متناسب با زمینه استفاده،"مشتری"، "درخواست" یا هر تعداد چیز دیگر، گفته میشود) موجود در سیستم، توصیف میکند. ورود هر کار، تعداد k را 1 واحد افزایش میدهد و خروج هر کار (کاری در حال تکمیل خدمات خود باشد) k را 1 واحد کاهش میدهد (شکل 1 را ببینید).

شکل 1. روند تولد / مرگ. مقادیر موجود در دایرهها نشاندهنده وضعیت فرایند تولد مرگ برای k فرایند است. انتقال سیستم بین k فرایندها توسط "تولد" و "مرگ" است که به ترتیب با نرخ دادهشده توسط مقادیر مختلف λi و μi رخ میدهد. برای یک سیستم صفبندی، k تعداد کارهای موجود در سیستم (در حال سرویسدهی یا در حال انتظار درصورتیکه صف دارای بافر برای کارهای در حال انتظار باشد) است. بعلاوه، برای یک صف، نرخ ورود و نرخ خروج معمولاً با توجه به تعداد کارهای موجود در صف در نظر گرفته نمیشود، بنابراین ما یک نرخ متوسط ورود و خروج در واحد زمان به صف را در نظر میگیریم. ازاینرو، برای یک صف، این نمودار دارای نرخ ورود λ = λ1 , λ2 , … , λk ، و نرخ خروج µ = µ 1 , µ 2 , … , µ k است (شکل 2 را ببینید).

شکل 2. یک صف با یک سرور، نرخ ورود λ و نرخ خروج μ.
معادلات حالت پایدار برای روند تولد و مرگ به شرح زیر است. (در اینجا p نشاندهنده احتمال حالت پایدار در وضعیت n است)
معادلات تعادل
معادله حالت 1 (از طریق حالت 0): µ1P1 = λ0P0
معادله حالت 2 (از طریق حالت 1 و 0): λ0P0 + µ2P2 = (λ1+ µ1)P1
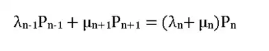
معادله عمومی (بیان حالت n + 1 از طریق حالتهای n - 1، n ):

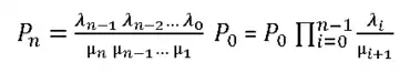
ااز دو معادله اول داریم:

با استنتاج ریاضی به فرمول زیر خواهیم رسید:

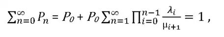
از شرط:

خواهیم داشت:

که برای n های بزرگتر و مساوی با 1، بهطور کامل احتمالات حالت پایدار موردنیاز را توصیف میکند.
معیارهای ارزیابی
برای سنجش عملکرد یک سیستم صف از سه معیار زیر بهره میگیرند.
- طول صف: طبیعی است که تشکیل صف هزینه زا است. از طرفی سازمان مجبور است فضایی برای انتظار مشتریان قرار دهد (مانند اتاق انتظار). بنابراین تعداد مشتریانی که در صف منتظر دریافت خدمت هستند یا تعداد مشتریان داخل سیستم، معیاری برای ارزیابی سیستم صف محسوب میشوند.
- زمان انتظار هر مشتری در صف یا سیستم: رضایت حضور مشتری با میزان حضورش در سیستم رابطه عکس دارد به این معنی که حضور مشتری در صف، هزینه از دست دادن مشتری را به سازمان تحمیل میکند؛ بنابراین هزینه زمان انتظار در صف و مدت زمان دریافت سرویس، یکی از معیارهای مهم ارزیابی صف است.
- درصدی از زمان که سیستم به علت نبودن مشتری بیکار است: سازمان برای حضور هر خدمت دهنده در سیستم هزینهای به صورت ثابت یا متغیر تخصیص میدهد که جزء هزینههای سازمان است؛ بنابراین سازمان علاقه دارد تا درصد بیکاری سرورها را به حداقل ممکن برساند.
دقت کنید که اکثر سیستمهای مورد بررسی، سیستمهایی تصادفی هستند و بنابراین مقادیر عددی معیارهای نام برده نیز رفتاری تصادفی دارند؛ بنابراین از ارزش انتظاری یا میانگین این معیارها، به عنوان معیار ارزیابی استفاده میشود.
علامت گذاری کندال:
برای نمایش سیستم صف معمولا از شیوه علامت گذاری کندال استفاده می شود که به شکل A/S/c توصیف می شود که در آن A نوع توزیع زمان بین هر ورود به صف می باشد، S نوع توزیع زمان سرویس برای مشتری ها را مشخص می کند و c نمایانگر تعداد سرورهای بکار رفته در گره می باشد.[5][6] برای نشان دادن یک نمونه از علامت گذاری می توان صف M/M/1 را که یک مدل ساده است را استفاده کرد، که در اینجا یک سرور به مشتری هایی که براساس فرآیند پواسون ( به صورتی که مدت زمان بین ورود به صورت توزیع نمایی می شود) می رسند، خدمات دهی می کند و دارای مدت زمان های انجام سرویس به صورت توزیع نمایی شده اند ( که M فرآیند مارکوف را نشان می دهد). در یک صف G ،M/G/1 مخفف واژه General (عمومی) است که یک توزیع احتمال عمومی برای مدت انجام سرویس را نشان می دهد.
صف درجه دو ساده
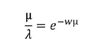
یک سیستم پایه و متداول صف، سیستم صف ارلانگ است که ناشی از تغییر در برخی از قوانین لیتل است.چنانچه در یک صف، نرخ ورود به آن را λ، نرخ خروج از آن را σ و نرخ سرویس دهی μ در نظر بگیریم، طول صف برابر است با:

با فرض توزیع نمایی برای نرخهای مذکور، زمان انتظار w را میتوان نسبت ورودیها به مواردی که سرویس داده میشوند، دانست. بنابراین، نرخ بقای نمایی آنهایی که در طول مدت انتظار، خارج نمیشوند بهصورت زیر است:

معادله دوم معمولاً بهصورت زیر بازنویسی میشود:

این مدل دومرحلهای یک جعبهای در اپیدمیولوژی رایج است[7].
مروری بر چگونگی توسعه نظریه صف
در سال 1909، اگنر کراروپ ارلانگ که یک مهندس دانمارکی بود و در یک مرکز تلفن واقع در کپنهاگ کار می کرد، اولین مقاله خود را که هم اکنون ما آن را تئوری صف می نامیم را منتشر کرد.[8][9][10] او شماره تلفن هایی که جهت تماس به مرکز تبادل(تلفن) می رسیدند را بوسیله فرآیند پواسون مدل کرد و در سال 1917 صف M/D/1 و در سال 1920 مدل صف M/D/k را حل کرد.[11] در علامت گذاری کندال:
- M مخفف مارکوف(Markov) یا بدون حافظه است و به این معنی است که ورود ها بر اساس فرآیند پواسون انجام می شود.
- D مخفف ثابت یا قطعی(Deterministic) است و به این معنی است که مشتریانی که وارد صف می شوند به چه مقدار مشخصی از خدمت نیاز دارند.
- k نمایانگر تعداد سرورها در گره صف می باشد.
اگر تعداد مشتری هایی که داریم بیشتر از تعداد سرور های ما باشد، آن وقت مشتری ها به صف خواهند رفت و برای سرویس گیری منتظر می شوند.
صف M/G/1 در سال 1930 توسط فلیکس پولاچک حل شد،[12] این راه حل بعدا توسط الکساندر خینچین با اصطلاحات احتمالی اصلاح شد و اکنون به عنوان فرمول پولاچیک - خینچین شناخته می شود.[11][13]
بعد از دهه 1940، تئوری صف به یک زمینه تحقیقاتی جذاب برای ریاضیدانان تبدیل شد.[13] در سال 1953 دیوید جرج کندال صف GI/M/k را حل کرد[14] و علامت گذاری مدرن را برای صف ها معرفی کرد که اکنون به نام علامت گذاری کندال شناخته می شود. در سال 1957 پولاچک از معادله انتگرالی برای مطالعه ی صف GI/G/1 استفاده کرد.[15]
جان کینگمن یک فرمول برای محاسبه متوسط زمان انتظار در صف G/G/1 ارائه کرد که به فرمول کینگمن معروف است.[16]
لئونارد کلین راک بر روی کاربرد تئوری صف روی سوئیچینگ پیام (در اوایل دهه 1960) و سوئیچینگ بسته (در اوایل دهه 1970) کار می کرد. سهم اولیه وی در این زمینه ، پایان نامه دکتری وی در انستیتوی فناوری ماساچوست در سال 1962 بود. که در قالب یک کتاب در زمینه سوئیچینگ پیام در سال 1964 منتشر شد. کار های نظری او در اوایل دهه 1970 که زیربنای استفاده از سوئیچینگ بسته در ARPANET بود منتشر کرد.
مشکلاتی مانند معیارهای عملکرد برای صف M/G/k جزو مسائلی هستند که هنوز باز هستند.[11][13]
ترافیک سنگین / تقریب انتشار
در یک سیستم با نرخ بالای اشغال (میزان استفاده نزدیک به 1) از تقریب ترافیک سنگین میتوان برای تقریب فرآیند طول صف با حرکت براونی معکوس، [17]فرایند Ornstein Uhlenbeck یا روند انتشار عمومیتر استفاده کرد[18]. تعداد ابعاد RBM برابر با تعداد گرههای صفبندی است و انتشار محدود به orthant غیر منفی است.
محدودیتهای سیال
مدلهای سیال، آنالوگهای قطعی پیوسته شبکههای صف هستند که به اشیا ناهمگن اجازه میدهند فرآیند با در نظر گرفتن محدودیت زمانی، در زمان و مکان مقیاس بندی شود. این خط مقیاس به یک معادله قطعی همگرا میشود که اجازه میدهد ثبات سیستم اثبات شود. مشخصشده است که یک شبکه صف میتواند پایدار باشد، اما دارای محدودیتهای سیال ناپایدار باشد[19].
سياست هاي خدماتي

سیاستهای برنامهریزی مختلفی را میتوان در نودهای صفبندی به کار برد:
اولین ورودی / اولین خروجی (FIFO)
این اصطلاح اولین ورودی اول سرویس می گیرد (FCFS) نیز نامیده می شود ، [20] این اصل بیان می کند که مشتریان به طور هم زمان سرویس دهی می شوند و برای مشتری که بیشترین مدت انتظار را داشته است ابتدا خدمات ارائه می شود. [21]
آخرین ورودی / اولین خروجی (LIFO)
این اصل همچنین بیان می کند که مشتریان به طور هم زمان سرویس دهی می شوند اما برای مشتری با کمترین زمان انتظار ابتدا خدمات ارائه می شود. [21] به عنوان پشته نیز شناخته می شود.
اشتراک پردازنده
ظرفیت خدمات به طور مساوی بین مشتریان تقسیم می شود. [21]
- اولویت
ابتدا به مشتریانی که اولویت بالایی دارند خدمات ارائه می شود. [21] صف های اولویت دار می توانند دو نوع باشند ، غیر پیشگیرانه ( کار در زمان انجام خدمت نمی تواند قطع شود) و پیشگیرانه (در صورتی که یک کار در حال خدمت گیری است می تواند توسط یک کار با اولویت بالاتر قطع شود). هیچ کاری در هر دو مدل از بین نمی رود. [22]
اول کوتاه ترین کار
کار بعدی که باید خدمت گیرد کاری با کوچکترین اندازه است.
- اول کوتاهترین کار پیشگیرانه
کار بعدی که باید خدمت گیرد کاری با کوچکترین اندازه اصلی است [23]
کوتاهترین زمان پردازش باقی مانده
کار بعدی که باید خدمت گیرد کاری با کمترین نیاز پردازش باقی مانده است. [24] 1)امکانات خدماتی
- سرور منفرد: مشتریان در صف قرار می گیرند و فقط یک سرور وجود دارد
- چندین سرور موازی - یک صف: مشتریان در صف قرار می گیرند و چندین سرور نیز وجود دارد
- چندین سرور - چند صف: تعداد زیادی شمارنده وجود دارد و مشتریان می توانند تصمیم بگیرند که به کجا صف بروند
2)رفتار مشتری در انتظار
- طفره رفتن: مشتریان تصمیم می گیرند اگر صف طولانی باشد به صف ملحق نشوند.
- فریب دادن: اگر مشتریان فکر کنند با این کار سریعتر به آنها سرویس داده می شود ، بین صف ها جابجا می شوند.
- انکار کردن: اگر مشتریان بیش از حد منتظر خدمات مانده باشند ، صف را ترک می کنند.
ورود مشتریانی که به آنها سرویس داده نشده است (یا به دلیل صف نداشتن حافظه, یا به دلیل امتناع مشتری) نیز به عنوان از قلم افتادگی شناخته می شوند و میانگین نرخ از قلم افتادگی پارامتر قابل توجهی برای توصیف یک صف است.
شبکه های صف بندی
شبکه های صف به سیستم هایی گفته می شود که در آن تعدادی از صف ها توسط آنچه که به عنوان مسیریابی مشتری شناخته می شود متصل می شوند. وقتی مشتری در یک گره سرویس دهی می شود ، میتواند به یکگره و صف دیگری برای سرویس گیری ملحق شود، یا شبکه را ترک کند. برای شبکه هایی متشکل از m گره وضعیت سیستم را می توان با یک بردار m بعدی (x1, x2, ..., xm) توصیف کرد که در آن xi تعداد مشتریان در هر گره را نشان می دهد. ساده ترین شبکه غیر بدیهی صف ، صف های پشت سر هم نامیده می شود. [25] اولین نتایج قابل توجه در این حوزه شبکه های جکسون بود،[26][27] که یک توزیع ثابت از فرم محصول کارآمد وجود دارد. تجزیه و تحلیل مقدار میانگین [28] به معیارهای میانگین مانند زمان تولید و زمان اقامت اجازه می دهد تا محاسبه شود. [29] اگر تعداد کل مشتریان در شبکه ثابت بماند ، شبکه یک شبکه بسته نامیده می شود و همچنین که یک توزیع ثابت از محصول در قضیه گوردون-نیول نشان داده شده است. [30] این نتیجه به شبکه BCMPتعمیم داده شد [31] که در آن یک شبکه با زمان سرویس دهی عمومی ، رژیمها و مسیر یابی مشتریان یک توزیع ثابت محصول را نشان میدهند. ثابت نرمال سازی را می توان با الگوریتم بوزن Buzen ، پیشنهاد شده در سال 1973 ، محاسبه کرد. [32] شبکه های کلی (Kelly) که در آن مشتریان طبقات مختلف سطوح اولویت متفاوتی را در گرههای خدماتی مختلف تجربه میکنند بعنوان شبکه های مشتریان مورد بررسی قرار گرفته است. [33] نوع دیگری از شبکه ها ، شبکه های G هستند که برای نخستین بار توسط ارول گلنبه Erol Gelenbe در سال 1993 پیشنهاد شد: [34] این شبکهها توزیع زمان نمایی شبیه شبکه کلاسیک جکسون ندارند .
الگوریتم های مسیریابی
در شبکه های زمانی گسسته که در آن محدودیت وجود دارد که گرههای سرویس میتوانند در هر زمان فعال باشند، الگوریتم زمان بندی حداکثر وزن، یک سیاست خدماتی را انتخاب می کند تا بتواند توان عملیاتی مطلوب در شرایطی که برای هر کار فقط از یک گره خدمات شخصی ارائه دهد. [20] در حالت کلی تر که کارها میتوانند بیش از یک نود به آن مراجعه کننده داشته باشند ، مسیریابی فشار تخلیه backpressure routing توان عملیاتی بهینه را ارائه می دهد. یک برنامه ریز شبکه باید یک الگوریتم صف بندی را انتخاب کند ، که بر ویژگی های شبکه های بزرگتر تأثیر بگذارد
محدودیت های میدانی میانگین
مدلهای میدانی میانگین ، محدودیت رفتار اندازه گیری تجربی( نسبت صف در حالتهای مختلف) را در نظر می گیرند زیرا تعداد صفها (بیشتر از m) به سمت بی نهایت میرود. تأثیر صفهای دیگر بر هر صف معین در شبکه با یک معادله دیفرانسیل تقریب زده شود. مدل قطعی به توزیع ایستا مشابه مدل اصلی همگرا میشود . [35]
منابع
- نظریه صف، ژوئیه، فریبرز؛ شامخی امیری، علیرضا
- نظامالدین فقیه، مبانی شبیهسازی سیستمها ۹۶۴-۶۸۱۰-۰۶-۳:شابک[36][37]
- نظامالدین فقیه، مهندسی تعمیرات و نگهداری[38][39]
پانویس
- Sundarapandian, V. (2009). "7. Queueing Theory". Probability, Statistics and Queueing Theory. PHI Learning. ISBN 978-8120338449.
- Lawrence W. Dowdy, Virgilio A.F. Almeida, Daniel A. Menasce. "Performance by Design: Computer Capacity Planning by Example".
- Schlechter, Kira (March 2, 2009). "Hershey Medical Center to open redesigned emergency room". The Patriot-News.
- Mayhew, Les; Smith, David (December 2006). Using queuing theory to analyse completion times in accident and emergency departments in the light of the Government 4-hour target. Cass Business School. ISBN 978-1-905752-06-5. Retrieved 2008-05-20.[permanent dead link]
- Tijms, H.C, Algorithmic Analysis of Queues", Chapter 9 in A First Course in Stochastic Models, Wiley, Chichester, 2003
- Kendall, D. G. (1953). "Stochastic Processes Occurring in the Theory of Queues and their Analysis by the Method of the Imbedded Markov Chain". The Annals of Mathematical Statistics. 24 (3): 338–354. doi:10.1214/aoms/1177728975. JSTOR 2236285.
- "An application of queuing theory to SIS and SEIS epidemic models". Mathematical Biosciences and Engineering. 7 (4): 809. 2010. doi:10.3934/mbe.2010.7.809.
- "Agner Krarup Erlang (1878-1929) | plus.maths.org". Pass.maths.org.uk. 1997-04-30. Retrieved 2013-04-22.
- Asmussen, S. R.; Boxma, O. J. (2009). "Editorial introduction". Queueing Systems. 63 (1–4): 1–2. doi:10.1007/s11134-009-9151-8.
- Erlang, Agner Krarup (1909). "The theory of probabilities and telephone conversations" (PDF). NYT Tidsskrift for Matematik B. 20: 33–39. Archived from the original (PDF) on 2011-10-01.
- Kingman, J. F. C. (2009). "The first Erlang century—and the next". Queueing Systems. 63 (1–4): 3–4. doi:10.1007/s11134-009-9147-4.
- Pollaczek, F., Ueber eine Aufgabe der Wahrscheinlichkeitstheorie, Math. Z. 1930
- Whittle, P. (2002). "Applied Probability in Great Britain". Operations Research. 50 (1): 227–239. doi:10.1287/opre.50.1.227.17792. JSTOR 3088474.
- Kendall, D.G.:Stochastic processes occurring in the theory of queues and their analysis by the method of the imbedded Markov chain, Ann. Math. Stat. 1953
- Pollaczek, F., Problèmes Stochastiques posés par le phénomène de formation d'une queue
- Kingman, J. F. C.; Atiyah (October 1961). "The single server queue in heavy traffic". Mathematical Proceedings of the Cambridge Philosophical Society. 57 (4): 902. doi:10.1017/S0305004100036094. JSTOR 2984229.
- «pdf» (PDF).
- Jackson, James R. (1957). "Networks of Waiting Lines". Operations Research. 5 (4): 518–521. ISSN 0030-364X.
- Bramson, Maury (1999-08). "A stable queueing network with unstable fluid model". Annals of Applied Probability. 9 (3): 818–853. doi:10.1214/aoap/1029962815. ISSN 1050-5164. Check date values in:
|date=(help) - Manuel, Laguna (2011). Business Process Modeling, Simulation and Design. Pearson Education India. p. 178. ISBN 9788131761359. Retrieved 6 October 2017.
- Penttinen A., Chapter 8 – Queueing Systems, Lecture Notes: S-38.145 - Introduction to Teletraffic Theory.
- Harchol-Balter, M. (2012). "Scheduling: Non-Preemptive, Size-Based Policies". Performance Modeling and Design of Computer Systems. pp. 499–507. doi:10.1017/CBO9781139226424.039. ISBN 9781139226424.
- Harchol-Balter, M. (2012). "Scheduling: Preemptive, Size-Based Policies". Performance Modeling and Design of Computer Systems. pp. 508–517. doi:10.1017/CBO9781139226424.040. ISBN 9781139226424.
- Harchol-Balter, M. (2012). "Scheduling: SRPT and Fairness". Performance Modeling and Design of Computer Systems. pp. 518–530. doi:10.1017/CBO9781139226424.041. ISBN 9781139226424.
- http://www.stats.ox.ac.uk/~winkel/bs3a07l13-14.pdf#page=4
- Jackson, J. R. (1957). "Networks of Waiting Lines". Operations Research. 5 (4): 518–521. doi:10.1287/opre.5.4.518. JSTOR 167249.
- Jackson, James R. (Oct 1963). "Jobshop-like Queueing Systems". Management Science. 10 (1): 131–142. doi:10.1287/mnsc.1040.0268. JSTOR 2627213.
- Reiser, M.; Lavenberg, S. S. (1980). "Mean-Value Analysis of Closed Multichain Queuing Networks". Journal of the ACM. 27 (2): 313. doi:10.1145/322186.322195.
- Van Dijk, N. M. (1993). "On the arrival theorem for communication networks". Computer Networks and ISDN Systems. 25 (10): 1135–2013. doi:10.1016/0169-7552(93)90073-D.
- Gordon, W. J.; Newell, G. F. (1967). "Closed Queuing Systems with Exponential Servers". Operations Research. 15 (2): 254. doi:10.1287/opre.15.2.254. JSTOR 168557.
- Baskett, F.; Chandy, K. Mani; Muntz, R.R.; Palacios, F.G. (1975). "Open, closed and mixed networks of queues with different classes of customers". Journal of the ACM. 22 (2): 248&ndash, 260. doi:10.1145/321879.321887.
- Buzen, J. P. (1973). "Computational algorithms for closed queueing networks with exponential servers" (PDF). Communications of the ACM. 16 (9): 527–531. doi:10.1145/362342.362345.
- Kelly, F. P. (1975). "Networks of Queues with Customers of Different Types". Journal of Applied Probability. 12 (3): 542–554. doi:10.2307/3212869. JSTOR 3212869.
- Gelenbe, Erol (Sep 1993). "G-Networks with Triggered Customer Movement". Journal of Applied Probability. 30 (3): 742–748. doi:10.2307/3214781. JSTOR 3214781.
- Bobbio, A.; Gribaudo, M.; Telek, M. S. (2008). "Analysis of Large Scale Interacting Systems by Mean Field Method". 2008 Fifth International Conference on Quantitative Evaluation of Systems. p. 215. doi:10.1109/QEST.2008.47. ISBN 978-0-7695-3360-5.
- مبانی شبیهسازی سیستمها
- Fundamentals of System Simulation
- مهندسی تعمیرات و نگهداری
- Maintenance Engineering