هیدروکسیلدار کردن سیس وودوارد
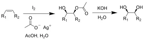
هیدروکسیلدار کردنِ سیسِ وودوارد (به انگلیسی: Woodward cis-hydroxylation) که همچنین بهعنوان واکنش وودوارد نیز شناخته میشود یک واکنش شیمیایی است که طی آن یک آلکن با کمک ید و استات نقره در حضور اسید استیک به دیول سیس متناظر خود تبدیل میشود. [1] [2] نام این واکنش برگرفته از شیمیدان آمریکایی، رابرت وودوارد است.

cv هیدروکسیلاسیون Woodward
| هیدروکسیلدار کردن سیس وودوارد | |
|---|---|
| نامگذاری شده پس از | رابرت وودوارد |
| نوع واکنش | واکنشهای افزایشی |
| شناسهها | |
| در درگاه شیمی آلی | woodward-reaction |
سازوکار واکنش
در ابتدا بر اثر واکنش واکنش ید با آلکن یون یدینیوم تشکیل میشود. در مرحله بعد یون یدینیوم ، توسط یون استات موجود در محیط مورد حمله هستهدوستی واقع میشود (گونه ۴). بر اثر کمک همسایه گروه استر مجاور، اتم ید از ترکیب خارج میشود و یک یون اکسونیوم تشکیل میشود (گونه ۵). سرانجام با انجام دو واکنش آبکافت متوالی، محصول دیاول سیس تشکیل میشود.

مکانیسم وودوارد سیس هیدروکسیلاسیون
منابع
- Woodward, R. B., U.S. Patent ۲٬۶۸۷٬۴۳۵
- Woodward, R. B.; Brutcher, F. V. (1958). "cis-Hydroxylation of a Synthetic Steroid Intermediate with Iodine, Silver Acetate and Wet Acetic Acid". J. Am. Chem. Soc. 80 (1): 209–211. doi:10.1021/ja01534a053. ISSN 0002-7863.
This article is issued from Wikipedia. The text is licensed under Creative Commons - Attribution - Sharealike. Additional terms may apply for the media files.