واکنش اشمیت-کلبه
واکنش اشمیت-کولب(به انگلیسی: Kolbe–Schmitt reaction) که در شیمی آلی مورد بحث قرار میگیرد عبارت است از یک واکنش شیمیایی که طی آن نمک یک فنول با کربن دی اکسید واکنش داده و گروه کربوکسیل جانشین هیدروژن میشود. این فرایند معمولاً در فشار ۱۰۰ اتمسفر و دمای ۱۲۵ درجه سانتی گراد انجام میپذیرد و حاصل این واکنش پس از قرار گرفتن در معرض سولفوریک اسید یک هیدروکسی اسید آروماتیک خواهد بود. مهمترین کاربرد این واکنش تبدیل فنول به سالیسیلیک اسید است.[1][2][3][4]

واکنش اشمیت-کولب
| واکنش اشمیت-کلبه | |
|---|---|
| نامگذاری شده پس از | هرمان کولبه رودولف اشمیت |
| نوع واکنش | واکنشهای افزایشی |
| شناسهها | |
| در درگاه شیمی آلی | kolbe-schmitt-reaction |
| RSC ontology ID | RXNO:0000182 |
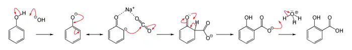
مکانیسم واکنش

مکانیسم واکنش اشمیت-کولب
منابع
- Hermann Kolbe (1860). "Ueber Synthese der Salicylsäure". آنالن لیبیش. 113 (1): 125–127. doi:10.1002/jlac.18601130120.
- R. Schmitt (1885). "Beitrag zur Kenntniss der Kolbe'schen Salicylsäure Synthese". Journal für Praktische Chemie. 31 (1): 397–411. doi:10.1002/prac.18850310130.
- A. S. Lindsey and H. Jeskey (1957). "The Kolbe-Schmitt Reaction". کمیکال ریویوز. 57 (4): 583–620. doi:10.1021/cr50016a001. (Review)
- موریسون، رابرت تورنتون، رابرت نیلسون بوید. شیمی آلی ۲. تهران:نشر علوم دانشگاهی
This article is issued from Wikipedia. The text is licensed under Creative Commons - Attribution - Sharealike. Additional terms may apply for the media files.