واکنش افزایش هالوژن
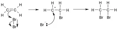
واکنش افزایش هالوژن(به انگلیسی: Halogen addition reaction) نمونهای ساده از واکنشهای آلی است که طی آن یک مولکول هالوژن به پیوند دوگانه کربن-کربن در گروه عاملی آلکن افزوده میشود. شکل کلی این فرایند در معادله شیمیایی زیر نشان داده شده است.[1]
- C=C + X۲ → X−C−C−X
در زیر نمونهای از این نوع واکنش نشان داده شده است. در این واکنش مولکول اتن (اتیلن) با یک مولکول برم واکنش داده و یک ترکیب برم دار آلی تولید می کند:
منابع
- Organic chemistry 4th Ed. Morrison & Boyd ISBN 0-205-05838-8
This article is issued from Wikipedia. The text is licensed under Creative Commons - Attribution - Sharealike. Additional terms may apply for the media files.
