واکنش البس
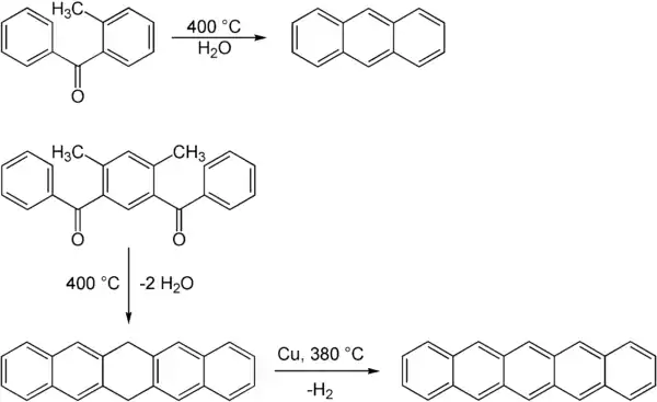
واکنش البس(به انگلیسی: Elbs reaction) یک نام واکنش در شیمی آلی است که شامل گرماکافت یک استخلاف اورتو متیل بنزوفنون و تشکیل یک پلیآروماتیک متراکم است. این واکنش نخستین بار در سال ۱۸۸۴ توسط شیمیدان آلمانی کارل البس کشف و توصیف گردید.[1][2][3]
برای نمونه سازوکار یک واکنش که منجر به تشکیل هیدروکربن آروماتیک پنتاسن میشود، در ادامه نشان داده شده است.[4]

واکنش البس
منابع
- K. Elbs, E. Larsen: Ueber Paraxylylphenylketon, in: شمیشه بریشته 1884, 17, 2847–2849; doi:10.1002/cber.188401702247.
- K. Elbs: Beiträge zur Kenntniss aromatischer Ketone. Erste Mittheilung, in: J. Prakt. Chem. 1886, 33, 180–188; doi:10.1002/prac.18860330119.
- Fieser, L. F. Org. React. 1942, 1.
- E. Breitmaier, G. Jung: Organische Chemie, 5. Auflage, S. 183, Thieme Verlag, Stuttgart, 2005, ISBN 978-3-13-541505-5.
This article is issued from Wikipedia. The text is licensed under Creative Commons - Attribution - Sharealike. Additional terms may apply for the media files.