واکنش اینهورن–برونر
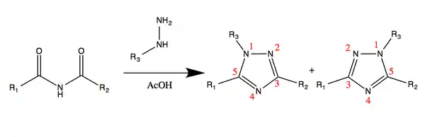
واکنش اینهورن–برونر(به انگلیسی: Einhorn–Brunner reaction) یک واکنش شیمیایی در شیمی آلی است که طی آن یک ایمید با یک آلکیل هیدرازین واکنش داده و مخلوط ایزومری از ۱،۲،۴-تریازول را تولید میکند. این واکنش به افتخار دو شیمیدان به نامهای آلفرد اینهورن و کارل برونر که به طور مستقل و بین سالهای ۱۹۰۵ تا ۱۹۱۴ میلادی بر روی این واکنش مطالعه داشتند، نامگذاری شده است.[1][2]

واکنش اینهورن–برونر
جستارهای وابسته
منابع
- Alfred Einhorn, Eduard Bischkopff, Bruno Szelinski, Gustav Schupp, Eduard Spröngerts, Carl Ladisch, Theodor Mauermayer (1905). "Ueber die N-Methylolverbindungen der Säureamide". Justus Liebig's Annalen der Chemie. 343 (2–3): 207–305 (229). doi:10.1002/jlac.19053430207.
- Brunner, Karl (1914). "Eine neue Darstellungsweise von sekundären Säureamiden". شمیشه بریشته. 47 (3): 2671–2680. doi:10.1002/cber.19140470351.
- Wang, Z (2009). Comprehensive Organic Name Reactions, 3 Volume Set. John Wiley & Sons. p. 971. ISBN 9780471704508.
This article is issued from Wikipedia. The text is licensed under Creative Commons - Attribution - Sharealike. Additional terms may apply for the media files.
