واکنش بتی
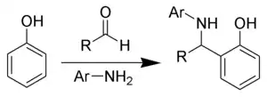
واکنش بتی(به انگلیسی: Betti reaction) یک واکنش آلیست که طی آن یک آلدهید، یک آمین آروماتیک اولیه و یک فنول با هم واکنش داده و آلفا-آمینو بنزیل فنول ها را ایجاد می کنند.این واکنش شکل خاصی از واکنش مانیش است.

واکنش بتی
منابع
- Betti, M. Gazz. Chim. Ital. 1900, 30 II, 301.
- Betti, M. Gazz. Chim. Ital. 1903, 33 II, 2.
- اورگانیک سینتسیس, Coll. Vol. 1, p.381 (1941); Vol. 9, p.60 (1929). (Article)
- Pirrone, F Gazz. Chim. Ital. 1936, 66, 518.
- Pirrone, F Gazz. Chim. Ital. 1937, 67, 529.
- Phillips, J. P. Chem. Rev. 1956, 56, 286.
- Phillips, J. P.; Barrall, E. M. ژورنال آو اورگانیک کمیستری 1956, 21, 692.
This article is issued from Wikipedia. The text is licensed under Creative Commons - Attribution - Sharealike. Additional terms may apply for the media files.