واکنش بیگینلی
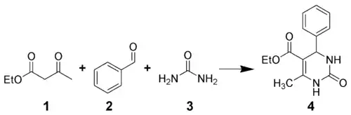
The واکنش بیگینلی(به انگلیسی: Biginelli reaction) یک واکنش چندجزئی در شیمی آلی است که طی آن از واکنش سه ماده اتیل استواستات ۱، یک آریل آلدهید(بنزآلدهید) ۲، و اوره، یک ۳٬۴-دیهیدروپیریمیدین-۲(۱اچ)-اون ۴ تشکیل میشود.[1][2][3][4] این واکنش به افتخار شیمیدان ایتالیایی پیترو بیگینلی نامگذاری شده است.[5][6]

واکنش بیگینلی
| واکنش بیگینلی | |
|---|---|
| نامگذاری شده پس از | پیترو بیگینلی |
| نوع واکنش | واکنشهای تشکیل حلقه |
| شناسهها | |
| در درگاه شیمی آلی | biginelli-reaction |
| RSC ontology ID | RXNO:0000236 |
منابع
- Biginelli, P. (1891). "Ueber Aldehyduramide des Acetessigäthers". Chemische Berichte. 24: 1317. doi:10.1002/cber.189102401228.
- Biginelli, P. (1891). "Ueber Aldehyduramide des Acetessigäthers. II". Chemische Berichte. 24 (2): 2962. doi:10.1002/cber.189102402126.
- Zaugg, H. E. ; Martin, W. B. (1965). "Α-Amidoalkylations at Carbon". Org. React. 14: 88. doi:10.1002/0471264180.or014.02. ISBN 0471264180.
- Kappe, C. O. (1993). "100 years of the biginelli dihydropyrimidine synthesis". تتراهدرون. 49 (32): 6937–6963. doi:10.1016/S0040-4020(01)87971-0.
- Kappe, C. Oliver (2005) "The Biginelli Reaction", in: J. Zhu and H. Bienaymé (eds.): Multicomponent Reactions, Wiley-VCH, Weinheim, ISBN 978-3-527-30806-4.
- Kappe, C. O. ; Stadler, A. (2004). "Organic Reactions". 63. doi:10.1002/0471264180.or063.01. ISBN 0471264180.
|chapter=ignored (help)
This article is issued from Wikipedia. The text is licensed under Creative Commons - Attribution - Sharealike. Additional terms may apply for the media files.