واکنش تورپ
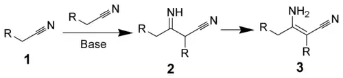
واکنش تورپ(به انگلیسی: Thorpe reaction) یک نام واکنش از نوع خود تراکمی در شیمی آلی است که طی آن یک نیتریل آلیفاتیک در حضور یک باز به یک انامین تبدیل میشود. این واکنش توسط شیمیدان انگلیسی ژوسلین فیلد تورپ کشف شد.

واکنش تورپ
منابع
- ^ Baron, H.; Remfry, F. G. P.; Thorpe, Y. F. (1904). "CLXXV.?The formation and reactions of imino-compounds. Part I. Condensation of ethyl cyanoacetate with its sodium derivative". J. Chem. Soc. 85: 1726. doi:10.1039/ct9048501726.
- ^ کارل زیگلر; et al. (1933). Ann. 504: ۹۴. Missing or empty
|title=(help) - ^ Schaefer, J. P.; Bloomfield, J. J. (1967). "The Dieckmann Condensation (Including the Thorpe-Ziegler Condensation)". Org. React. 15. p. 1. doi:10.1002/0471264180.or015.01. ISBN 0471264180.
پیوند به بیرون
- Thorpe-Ziegler reaction: 4-Phosphorinanone, 1-phenyl- اورگانیک سینتسیس, Coll. Vol. 6, p.932 (1988); Vol. 53, p.98 (1973) Link
This article is issued from Wikipedia. The text is licensed under Creative Commons - Attribution - Sharealike. Additional terms may apply for the media files.