واکنش زینکه
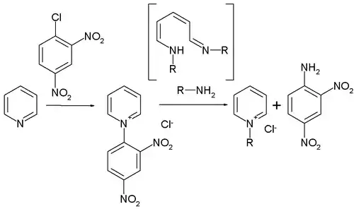
واکنش زینکه (انگلیسی: Zincke reaction) نوعی واکنش شیمیایی در شیمی آلی است که طی آن یک پیریدین در واکنش با ۲٬۴-دینیترو-کلروبنزن و یک آمین نوع اول به یک نمک پریدینیوم تبدیل می شود. این واکنش به افتخار شیمیدان آلمانی تئودور زینکه نامگذاری شده است.[1][2][3]

واکنش زینکه
منابع
- Theodor Zincke; Heuser, G.; Moller, W. (1904). "Ueber Dinitrophenylpyridiniumchlorid und dessen Umwandlungsproducte". Liebigs Annalen. 333 (2–3): 296–345. doi:10.1002/jlac.19043330212.
- Theodor Zincke; Heuser, G.; Moller, W. (1904). "Ueber Dinitrophenylpyridiniumchlorid und dessen Umwandlungsproducte". Liebigs Annalen. 330 (2): 361–374. doi:10.1002/jlac.19043300217.
- Zincke, T. H.; Weisspfenning, G. (1913). "Über Dinitrophenylisochinoliniumchlorid und dessen Umwandlungsprodukte". Liebigs Annalen. 396 (1): 103–131. doi:10.1002/jlac.19133960107.
This article is issued from Wikipedia. The text is licensed under Creative Commons - Attribution - Sharealike. Additional terms may apply for the media files.