واکنش فرمیلدار کردن
واکنش فرمیلدار کردن یا فرمیلاسیون(به انگلیسی: Formylation reaction) در شیمی آلی به کلیه واکنشهایی گفته میشود که طی آن یک گروه فرمیل در یک ساختار آلی تشکیل شود.

ساختار گروه فرمیل
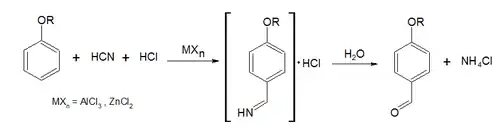
به عنوان نمونه واکنش گاترمان نمونهای از یک واکنش فرمیلدار کردن است:

سنتز آلدهید گاترمان
منابع
- Wikipedia contributors, "Formylation reaction," Wikipedia, The Free Encyclopedia, http://en.wikipedia.org/w/index.php?title=Formylation_reaction&oldid=618288188 (accessed October 27, 2014).
This article is issued from Wikipedia. The text is licensed under Creative Commons - Attribution - Sharealike. Additional terms may apply for the media files.