واکنش لوکارت
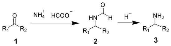
واکنش لوکارت (انگلیسی: Leuckart reaction) یک واکنش در شیمی آلی است که طی آن یک آلدهید یا کتون به وسیله یک فرایند آمیندار کردن کاهشی (Reductive amination) به یک آمین تبدیل میشود. این واکنش در دماهای بالا و در حدود ۱۲۰ تا ۱۳۰ درجهٔ سانتی گراد صورت میگیرد. واکنش لوکارت معمولاً در حضور آمونیوم فرمات یا فرمآمید انجام میپذیرد. واکنش عمومی یک کتون در حضور آمونیوم فرمات در معادله شیمیایی زیر نشان داده شده است:

تبدیل یک کتون به آمین در حضور آمونیوم فرمات
| واکنش لوکارت | |
|---|---|
| نامگذاری شده پس از | رودولف لوکارت |
| نوع واکنش | واکنشهای جانشینی |
| شناسهها | |
| RSC ontology ID | RXNO:۰۰۰۰۱۰۱ |
این واکنش به افتخار کاشف آن رودولف لوکارت شیمیدان آلمانی نامگذاری شده است.
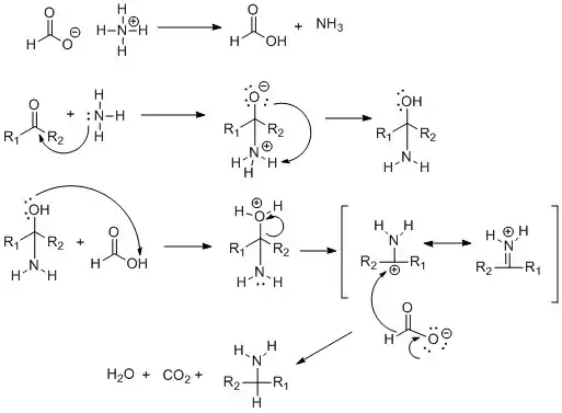
سازوکار واکنش
سازوکار واکنش در حضور آمونیوم فرمات:

The mechanism depicts the conversion of ketone (or aldehyde) to an amine using ammonium formate as a reagent.
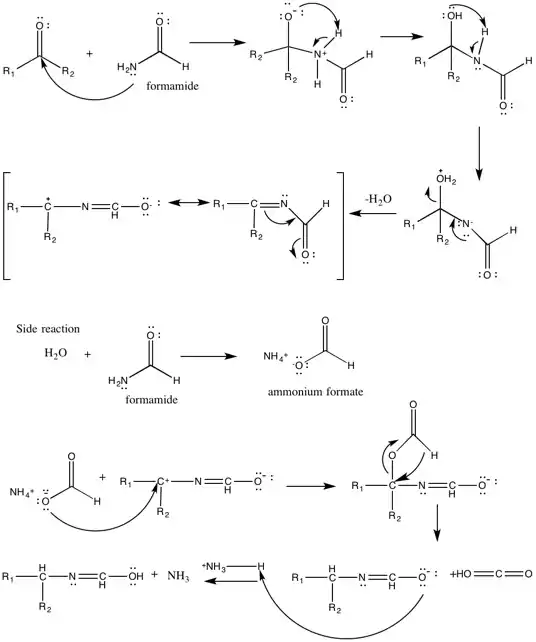
سازوکارواکنش در حضور فرمآمید:

The scheme depicts the mechanism for the Leuckart reaction using formamide as the reducing agent.
منابع
- مشارکتکنندگان ویکیپدیا. «Leuckart reaction». در دانشنامهٔ ویکیپدیای انگلیسی، بازبینیشده در ۸ مارس ۲۰۱۷.
This article is issued from Wikipedia. The text is licensed under Creative Commons - Attribution - Sharealike. Additional terms may apply for the media files.