واکنش پینر
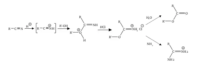
واکنش پینر[1](به انگلیسی: Pinner reaction) واکنشی در شیمی آلی است که طی آن یک نیتریل با یک الکل در حضور یک کاتالیزور اسیدی (مانند هیدروکلریک اسید) واکنش میدهد. محصول ایجاد شده، نمک هیدروکلریک اسید یک ایمینو استر یا آلکیل ایمیدات است که به نمک پینر معروف است. این واکنش به نام شیمیدان آلمانی آدولف پینر نامگذاری شده است.[2][3][4][5]

جستارهای وابسته
منابع
- پورجوادی، علی (۱۳۹۳). واژهنامه علوم و فناوری شیمی. تهران: فرهنگ معاصر. شابک ۹۷۸-۶۰۰-۱۰۵-۰۷۱-۸.
- A. Pinner, F. Klein (1877). "Umwandlung der Nitrile in Imide". شمیشه بریشته. 10 (2): 1889–1897. doi:10.1002/cber.187701002154.
- A. Pinner, Fr. Klein (1878). "Umwandlung der Nitrile in Imide". شمیشه بریشته. 11 (2): 1475–1487. doi:10.1002/cber.18780110258.
- A. Pinner (1883). "Ueber die Umwandlung der Nitrile in Imide". شمیشه بریشته. 16 (2): 1643–1655. doi:10.1002/cber.18830160235.
- Roger. R.; Neilson, D. G. کمیکال ریویوز 1961, 61, 179-211. (Review, doi:10.1021/cr60210a003)
This article is issued from Wikipedia. The text is licensed under Creative Commons - Attribution - Sharealike. Additional terms may apply for the media files.