واکنش گوالد
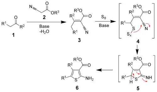
واکنش گوالد(به انگلیسی: Gewald reaction) یک نام واکنش از نوع واکنشهای چندجزئی در شیمی آلی است که طی آن یک کتون (یا آلدهید) با یک آلفا-سیانواستر طی یک واکنش تراکمی و در حضور گوگرد خالص، استخلاف پلیمری ۲-آمینو-تیوفن را تولید میکند.[1][2] این واکنش به افتخار شیمیدان آلمانی کارل گوالد (Karl Gewald) نامگذاری شده است.[3][4][5]

واکنش گوالد
| واکنش گوالد | |
|---|---|
| نامگذاری شده پس از | Karl Gewald |
| نوع واکنش | واکنشهای تشکیل حلقه |
| شناسهها | |
| در درگاه شیمی آلی | gewald-reaction |
منابع
- Gewald, K.; Schinke, E.; Böttcher, H. شمیشه بریشته 1966, 99, 94-100.
- Sabnis, R. W. Sulfur Rep. 1994, 16, 1-17. (Review)
- John A. Joule, Keith Mills: Heterocyclic Chemistry, John Wiley & Sons, 5. Auflage (2010), p. 340, ISBN 978-1-4051-3300-5.
- Bradford P. Mundy, Michael G. Ellerd, Frank G. Favaloro, Jr.: Name Reactions and Reagents in Organic Synthesis, John Wiley & Sons, 2. Auflage (2005) p. 306, شابک ۰−۴۷۱−۲۲۸۵۴−۰ .
- Christopher Hume: Applications of Multicomponent Reactions in Drug Discovery – Lead Generation to Process Development, p. 311−341, see p. 332−334, In Jieping Zhu, Huges Bienaymé: Multicomponent Reactions, Wiles-VCH Verlag, 2005, ISBN 978-3-527-30806-4.
- Sabnis, R. W.; Rangnekar, D. W.; Sonawane, N. D. J. Heterocyclic Chem. 1999, 36, 333.
This article is issued from Wikipedia. The text is licensed under Creative Commons - Attribution - Sharealike. Additional terms may apply for the media files.
