واکنش یاپ–کلینگمان
واکنش یاپ–کلینگمان[1] (انگلیسی: Japp–Klingemann reaction) واکنشی شیمیایی است که جهت سنتز هیدرازون ها به کار می رود. در این واکنش یک بتا-کتو-اسید (یا بتا-کتو-استر) با یک نمک آریل دیآزونیوم واکنش داده و تولید یک هیدرازون می کند. این واکنش به افتخار دو شیمیدان به نام های Francis Robert Japp و Felix Klingemann نامگذاری شده است.[2][3][4][5][6][7]

واکنش یاپ–کلینگمان در سنتز ایندول ها
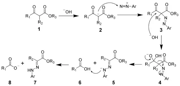
سازوکار

سازوکار واکنش یاپ–کلینگمان
منابع
- پورجوادی، علی (۱۳۹۳). واژه نامه علوم و فناوری شیمی. فرهنگ معاصر. شابک ۹۷۸-۶۰۰-۱۰۵-۰۷۱-۸.
- Francis Robert Japp, Felix Klingemann (1887). "Ueber Benzolazo- und Benzolhydrazofettsäuren". Chemische Berichte. 20 (2): 2942&ndash, 2944. doi:10.1002/cber.188702002165.
- F. R. Japp; F. Klingemann (1887). "Zur Kenntniss der Benzolazo- und Benzolhydrazopropionsäuren (p 3284-3286)". Chemische Berichte. 20 (2): 3284&ndash, 3286. doi:10.1002/cber.188702002234.
- F. R. Japp; F. Klingemann (1887). "Ueber sogenannte "gemischte Azoverbindungen". Chemische Berichte. 20 (2): 3398&ndash, 3401. doi:10.1002/cber.188702002268.
- F. R. Japp; F. Klingemann (1888). "Ueber die Constitution einiger sogenannten gemischten Azoverbindungen". Liebigs Annalen. 247 (2): 190&ndash, 225. doi:10.1002/jlac.18882470208.
- Phillips, R. R. Org. React. 1959, 10, 143.
- Reynolds, G. A.; VanAllan, J. A. Organic Syntheses, Coll. Vol. 4, p.633 (1963); Vol. 32, p.84 (1952). (Article بایگانیشده در ۱۶ ژوئیه ۲۰۱۲ توسط Wayback Machine)
This article is issued from Wikipedia. The text is licensed under Creative Commons - Attribution - Sharealike. Additional terms may apply for the media files.