پلاسمون پلاریتونهای سطحی
پلاریتون پلاسمونهای سطحی (به انگلیسی: Surface Plasmon Polariton) یا SPP تحریکهای الکترومغناطیسی هستند که به الکترونهای آزاد جمع شونده و نوسانکننده سطحی در فلزات تزویج میشوند تا بتوانند بهطور طولی در سطح تقاطع فلز دی الکتریک انتشار یابند. البته پرتو الکترومغناطیسی تابیده شده باید دارای شرایطی باشد: از جمله طوری تابانده شود که بازتاب داخلی کامل ایجاد شود و دارای قطبش طولی (P-Polarized) باشد.
علت حائز اهمیت بودن پلاسمون پلاریتونهای سطحی توانایی آنها در تمرکز دادن میدان الکترومغناطیسی است که حد پراکندگی آنها در موجهای اپتیکی نانومتری کاهش میدهد و گسترش میدانهای موضعی را تا چندین مرتبه بزرگی بهبود میدهد؛ و باعث میشود مدهای انتشاری پلاسمون پلاریتونهای سطحی (میدان الکتریکی عرضی (TE) یا میدان مغناطیسی عرضی (TM)) در صفحات عمود بر جهت انتشار محصور شوند.

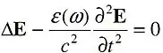
با فرض اینکه محیطی که امواج الکترومغناطیسی در آن منتشر میشوند از نوع غیر مغناطیسی (۱=μ) و ایزوتروپیک و همگن باشد و با ثابت دی الکتریک (ϵ(ω بیان شود، معادله موج میدان الکتریکی خواهد بود:

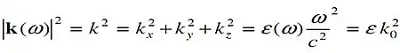
با توجه به تعریف بردار موج رابطه پخش (Dispersion Relation) خواهد بود:

در ادامه فرض میشود در نمای سه بعدی، بردار موج در جهت y بدون تغییر باشد و جهت انتشار در صفحه x-z محصور شده باشد. با توجه به روابط برای محیط دی الکتریک بدون اتلاف ε=εd>0 و با توجه به اینکه جهت انتشار را در جهت z گرفته شدهاست،


برای بررسی انتشار این امواج از دو ساختار فلز دی الکتریک-فلز و دی الکتریک-فلز دی الکتریک استفاده می-شود. در این دو نوع ساختار لایه میانی بسته به طول موج پرتو تحریککننده پلاسمونها، چند ده نانومتر ضخامت دارد.
بررسی حد پراش (Diffraction limit)
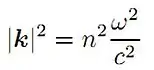
زمانی که یک پرتو نوری میتواند از جمع آثار امواج صفحه ای ایجاد شود با در نظر گرفتن یک موج صفحه ای با فرکانس زاویه ای ω و در محیط یکنواخت دی الکتریک با ضریب شکست n=√εμ میتوان رابطه پخش را با فرض اینکه μ=۱ به صورت زیر نوشت:


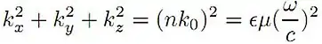
این معادله در تشابه با سطح فرمی (سطح فرمی سطح فرضی انرژی پتانسیل یک الکترون در داخل یک جامد بلورین است)، سطح عدد موج (Surface Wave Number)نامیده میشود که یک کره سه بعدی در فضای K را تبیین میکند. زمانی که kj حقیقی باشد مقادیر بین k≤kj≤k را میپذیرد. این یعنی محدوده فرکانس k∆، برابر 2k است (k=2nk0∆). بر اساس رابطه عدم قطعیت هایزنبرگ تبدیل فوریه k∆ و r∆ داریم:

این رابطه کمترین مقدار اندازه شعاعی پرتویی که از جمع آثار امواج اپتیکی سه بعدی ایجاد میشود را بیان میکند که از مرتبه λ۰ است که این همان رابطه حد پراش است.

در کریستالها فوتونی یا موجبرهای با ضریب شکست بالا، امواج نوری سه بعدی است در نتیجه عرض پرتو اپتیکی در این ساختارها با مرتبهλ۰محدود میشود.
برای پایین آوردن حد پراش به سراغ امواج نوری با دیمانسیون پایین (مثل امواج دو بعدی تک بعدی یا صفر بعدی) میرویم. نمونه ای از این امواج میدانی ناپایدار ایجاد شده در سطح دی الکتریک با بازتاب داخلی کامل است یا امواج سطحی انتشار یافته در امتداد سطح مشترک دی الکتریک و فلز است که به همان پلاسمونهای سطحی که بیان شد، تعبیر میشوند.
کاربرد
در سالهای اخیر کاربردهای بسیار متنوعی برای پلاسمونهای سطحی بکار رفت که البته پیشرفت این علم به تکنیکهایی چون لیتوگرافیهای نوری و ذخیره اپتیکی دادهها وابسته است. میل روزافزون به این شاخه از علم را میتوان بیشتر به شکستن و پایین آوردن حد پراش نور و کوچکتر کردن آن از مرتبه طول موج نسبت داد.
کاربرد امواج پلاسمون پلاریتون سطحی و پلاسمون سطحی موضعی و روند استفاده از آنها روز به روز شتاب بیشتری میگیرد. در زمینه ساخت نیز ساخت ادواتی غیرفعال (passive) (یعنی ادواتی که در آنها توانی تولید نمیشود) مانند موجبر، کوپلر، فیلتر و … و ادوات فعال (active) (یعنی ادواتی که در آنها توان تولید میشود) مانند تقویت کننده، تشدید کننده، سوئیچ، مدولاتور و … در حال انجام و حتی بهینهسازی است.
از این علم میتوان در مدارهای الکترونیکی و اپتیکی بهطور جداگانه استفاده کرد به نحوی که با انتشار همزمان امواج در هر یک از این زمینهها و انتشار امواج پلاسمونیکی، اختلالی در انتقال داده هریک از امواج وارد نشود. این خود باعث میشود که ظرفیت ارسال اطلاعات در مدارات مجتمع بالا رود. از طرفی با پایین آوردن حد پراش، مدارهای مجتمع ساخته شده در حوزه پلاسمونیک خیلی فشرده تر از مدارهای مجتمع نوری خواهد بود و سرعت انتقال و سوئیچ در این مدارات افزایش مییابد.
از سوی دیگر با توجه به اثرگذار بودن تغییرات اندک ثابت دی الکتریک اطراف نانو ذره یا سطح فلزی در ساختارهای پلاسمونیکی، از این قابلیت میتوان برای ساخت حسگرهای زیستی در تشخیص تودههای سرطانی در بافتهای معیوب و تغییرات در محیطهای حامل باکتری استفاده کرد. با استفاده از لایههای دی الکتریک قابل کشت باکتریها یا بافتهای زنده میتوان فعالیت آنها را بررسی کرد. تحقیقات حسگرهای زیستی مربوط به نانوذرات و پلاسمونیک، روشهایی را برای تحلیل زیستی (Bio Analytical) معرفی میکند که بر پایه مفاهیم پلاسمونیک در لایههای نازک فلزی و نانوتکنولوزی مولکولی استوار است که البته به عنوان یک تحقیقات بین رشتهای (مهندسی- فیزیک پزشکی) در محافل علمی مطرح میشود. با توجه به پایههای کلی بحث پلاسمونیک چنین بر میآید که به دلیل وجود مفاهیمی از فیزیک اپتیک و میدان و امواج در غالب این رشتهها و گرایشهای مربوطه به عنوان بحث داغ آنها شناخته میشود.
البته در تحقیقات اخیر(۲۰۱۲–۲۰۱۰) پلاسمونیک، نانو ذرات را به سمت ذرات دو جنسی پیش بردهاند که شامل هسته ای از یک فلز و غشای اطراف آن از جنس فلز دیگر میباشد.