پلیمرهای زیست تخریبپذیر
پلیمرهای زیست تخریب پذیر یک نوع خاص از پلیمر است که پس از هدف مورد نظر خود با فرایند تجزیه باکتریایی تجزیه میشود و منجر به تشکیل فراوردههای فرعی مانند گازها (CO 2، N 2)، آب، زیست توده، و نمکهای معدنی میشود.[1][2] این پلیمرها به صورت طبیعی و مصنوعی ساخته شدهاند و عمدتاً از گروههای عملکردی استر، آمید و اتر تشکیل شدهاند. خواص و مکانیسم تجزیه آنها با ساختار دقیق آنها تعیین میشود. این پلیمرها غالباً با واکنشهای تراکم، پلیمریزاسیون حلقه باز و کاتالیزورهای فلزی سنتز میشوند. نمونهها و کاربرد وسیعی از پلیمرهای تخریب پذیر وجود دارد.

مواد بستهبندی ساخته شده از مواد زیست محیطی در دهههای گذشته به عنوان جایگزین سبز معرفی شدهاند که در این میان فیلمهای خوراکی به دلیل ویژگیهای سازگار با محیط زیست، تنوع گسترده و در دسترس بودن، سمی نبودن و کم هزینه بودن توجه بیشتری را به خود جلب کردهاند.[3]
تاریخچه
پلیمرهای تخریب پذیر دارای سابقه طولانی است، و از آنجا که بسیاری از آنها محصولات طبیعی هستند، به جدول زمانی دقیق از کشف و استفاده از آنها نمیتوان دست یافت. یکی از اولین کاربردهای دارویی یک پلیمر تخریب پذیر بخیه گربه بود که قدمت آن به حداقل ۱۰۰ سال پیش از میلاد مسیح بازمیگردد.[4] اولین بخیههای گربه از رودههای گوسفند ساخته شد، اما بخیههای مدرن گربه از کلاژن خالص استخراج شده از رودههای کوچک گاو، گوسفند یا بز تهیه میشود.[5]
مفهوم پلاستیک و پلیمرهای تخریب پذیر مصنوعی برای اولین بار در دهه ۱۹۸۰ معرفی شد.[6] در سال ۱۹۹۲، یک نشست بینالمللی برگزار شد که در آن رهبران پلیمرهای زیست تخریب پذیر برای گفتگو دربارهٔ یک تعریف، استاندارد و پروتکل آزمایشی پلیمرهای تخریب پذیر با یکدیگر ملاقات کردند.[2] همچنین، سازمانهای نظارتی مانند انجمن آمریکایی برای آزمایش مواد (ASTM) و سازمان استاندارد بینالمللی (ISO) تأسیس شدند.[7] فروشگاههای بزرگ زنجیره ای البسه و مواد غذایی در اواخر سال ۲۰۱۰ میلادی به استفاده از کیسههای زیست تخریب پذیر ملزم شدند. پلیمرهای زیست تخریب پذیر همچنین در سال ۲۰۱۲ هنگامی که پروفسور جفری کوتس از دانشگاه کورنل جایزه شیمی سبز ریاست جمهوری را دریافت کرد، در زمینههای مختلف نظرها را جلب کرد. از سال ۲۰۱۳، ۵–۱۰٪ از بازار پلاستیک متمرکز بر پلاستیکهای زیست تخریب پذیر مشتق شده از پلیمر بود.[8]
ساختار و خواص
ساختار پلیمرهای تخریب پذیر در خواص آنها مؤثر است. در حالی که پلیمرهای تخریب پذیر بیشماری، چه مصنوعی و چه طبیعی وجود دارد، اما مشترکات کمی بین آنها وجود دارد.
ساختار
پلیمرهای تخریب پذیر متشکل از پیوندهای استر، آمید یا اتر هستند. بهطور کلی، پلیمرهای زیست تخریب پذیر بر اساس ساختار و سنتز آنها میتوانند به دو گروه بزرگ تقسیم شوند. یکی از این گروهها آگروپلیمرها یا آنهایی که از زیست توده حاصل میشوند.[1] گروه دیگر از بیوپلیسترها تشکیل شدهاست که از میکروارگانیسمها یا بهطور مصنوعی از مونومرهای طبیعی یا مصنوعی ساخته شدهاند.

آگروپلیمرها شامل پلی ساکاریدها هستند، مانند نشاستههای موجود در سیب زمینی یا چوب و پروتئینها مانند آب پنیر حیوانی یا گلوتن حاصل از گیاه.[1] پلی ساکاریدها از پیوندهای گلیکوزییدی تشکیل شدهاند که یک نیمکره ساکارید را به خود اختصاص داده و با از دست دادن آب آن را به یک الکل متصل میکنند. پروتئینها از اسیدهای آمینه ساخته شدهاند، که شامل گروههای مختلف عملکردی هستند.[9] این اسیدهای آمینه دوباره از طریق واکنشهای چگالشی به هم میرسند تا پیوندهای پپتیدی تشکیل شوند، که از گروههای عملکردی آمید تشکیل شدهاست. نمونههایی از بیوپلیسترها شامل پلی هیدروکسی بوتیرات و اسید پلیلاکتیک است.
خواص
علیرغم اینکه پلیمرهای تخریب پذیر کاربردهای بیشماری دارند، خواصی وجود دارد که تمایل دارند در بین آنها مشترک باشند. تمام پلیمرهای تخریب پذیر باید پایدار و با دوام کافی برای استفاده در کاربرد خاص خود باشند، اما پس از دفع به راحتی باید تجزیه شوند.[7] پلیمرها، بهطور خاص پلیمرهای تخریب پذیر، دارای ستون فقرات کربن بسیار قوی هستند که شکستن آنها دشوار است، به گونه ای که تخریب اغلب از گروههای انتهایی شروع میشود. از آنجا که تخریب در انتها شروع میشود، یک منطقه با سطح بالا متداول است زیرا دسترسی آسان به مواد شیمیایی، سبک یا موجودات بدن را آسان میکند.[2] تبلور غالباً کم است زیرا دسترسی به گروههای انتهایی را مهار میکند.[8] درجه پایین پلیمریزاسیون، بهطور معمول، همانطور که در بالا اشاره شد، مشاهده میشود، زیرا انجام این کار گروههای انتهایی قابل دستیابی بیشتری را را برای واکنش با آغازگر تخریب امکانپذیر میکند. یکی دیگر از مشترکات این پلیمرها، آبگریز بودن آنها است. پلیمرهای آبگریز و گروههای انتهایی در صورتیکه آنزیم محلول در آب نتواند به راحتی با پلیمر در تماس باشد از تعامل آنزیم جلوگیری میکنند.
خواص دیگر پلیمرهای تخریب پذیر که برای مصارف دارویی مورد استفاده قرار میگیرند عبارتند از:
هدف استخراج پاسخ ایمن نیست و محصولات تخریب نیز لازم نیست که سمی باشند. اینها به عنوان پلیمرهای تخریب پذیر حائز اهمیت برای تحویل دارو میباشند جایی که ضروری است دارو به آرامی و با گذشت زمان منتشر شود و قرص در بطری تا زمان آماده شدن برای استفاده پایدار باشد.[10] عوامل کنترلکننده نرخ تخریب شامل درصد بلورینگی، وزن مولکولی و آبگریزی هستند. نرخ تخریب بستگی به محل موجود در بدن دارد، که محیط پیرامون پلیمر مانند pH، غلظت آنزیمها و میزان آب را تحت تأثیر قرار میدهد. اینها به سرعت تجزیه میشوند.
سنتز
یکی از مهمترین و مورد مطالعهترین گروههای پلیمرهای تخریب پذیر، پلی استرها هستند. پلی استرها میتوانند به چندین روش از جمله تراکم مستقیم الکلها و اسیدها، پلیمریزاسیون حلقه باز (ROP) و واکنشهای پلیمریزاسیون فلزی کاتالیز سنتز شوند.[11] یک نقطه ضعف بزرگ پلیمریزاسیون گام به گام از طریق تراکم یک اسید و الکل، نیاز به خارج کردن مداوم آب از این سیستم به منظور حرکت تعادل واکنش به جلو است.[12] این میتواند شرایط واکنش شدید و زمان طولانی واکنش را ضروری کند، و در نتیجه پراکندگی گستردهای ایجاد کند. طیف گستردهای از مواد اولیه میتواند برای سنتز پلی استرها مورد استفاده قرار گیرد و هر نوع مونومر زنجیره پلیمر نهایی را با خصوصیات مختلف به خود اختصاص میدهد. ROP گلیکولیک یا اسید لاکتیک دایمر حلقوی اسیدهای α-هیدروکسی را تشکیل میدهد که سپس به پلی «α-استرها» تبدیل میشوند. برای شروع پلیمریزاسیون پلی استرها از جمله مجتمعهای قلع، روی و آلومینیوم میتوان از انواع مختلفی از آغازگرهای ارگانومتری استفاده کرد. رایجترین آن اکتانوئید قلع (II) است و توسط FDA ایالات متحده به عنوان یک ماده افزودنی غذایی تأیید شدهاست، اما هنوز نگرانیهایی در مورد استفاده از کاتالیزور قلع در سنتز پلیمرهای تخریب پذیر برای مصارف زیست پزشکی وجود دارد. سنتز پلی (β- استرها) و پلی (γ-استرها) را میتوان با روشهای مشابه ROP یا تراکم مانند با پلی (γ-استرها) انجام داد. توسعه فرایند عاری از فلز که شامل استفاده از کاتالیز باکتریایی یا آنزیمی در تشکیل پلی استر است نیز مورد بررسی قرار گرفتهاست.[13][14] این واکنشها از این مزیت برخوردار هستند که معمولاً از نظر انتخابی و کلیشه ای مورد استفاده قرار میگیرند اما از گرانی باکتریها و آنزیمها، زمان طولانی واکنش و محصولاتی با وزن مولکولی پایین رنج میبرند.

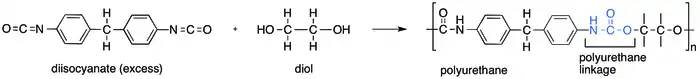
در حالی که پلی استرها بر تحقیق و تمرکز صنعتی بر پلیمرهای تخریب پذیر مصنوعی تسلط دارند، سایر کلاسهای پلیمرها نیز مورد توجه هستند. Polyanhydrides یک حوزه فعال برای تحقیق در زمینه تحویل دارو است زیرا آنها فقط از سطح تخریب میشوند و بنابراین میتوانند دارویی را که با خود حمل میکنند با سرعت ثابت منتشر کنند.[11] پلی ییدیدها میتوانند از طریق روشهای متنوعی که در سنتز سایر پلیمرها نیز استفاده میشود، از جمله چگالش، دهیدروکلرینگ، اتصال جوی کمآبی و ROP ساخته شوند. از پلی اورتانها و پلی (استر آمید) در مواد بیولوژیکی استفاده میشود.[16] در ابتدا پلی یورتانها به دلیل سازگاری زیست محیطی، دوام، انعطافپذیری آنها مورد استفاده قرار گرفتند، اما اخیراً به دلیل تجزیه پذیری زیستپذیری آنها مورد بررسی قرار میگیرند. پلی اورتانها بهطور معمول با استفاده از دییزوسیانات، دیول، و یک زنجیره پلیمر سنتز میشوند. واکنش اولیه بین دییزوسیانات و دیول و دییزوسیانات بیش از حد انجام میشود تا اطمینان حاصل شود که انتهای زنجیره پلیمر جدید گروههای ایزوسیانات هستند. سپس این پلیمر میتواند با دیول یا دی آمین واکنش نشان دهد تا به ترتیب گروههای انتهای اورتان یا اورتان و اوره تشکیل شود. انتخاب گروههای ترمینال بر خواص پلیمر حاصل تأثیر میگذارد. علاوه بر این، استفاده از روغن نباتی و زیست توده در تشکیل پلی اورتانها یک حوزهٔ فعال تحقیقاتی است.[17]

با افزودن پرکنندهها یا پلیمرهای دیگر میتوان خواص مکانیکی پلیمرهای تخریب پذیر را برای ساختن یک کامپوزیت، مخلوط یا کوپلیمر افزایش داد. بعضی از پرکنندهها علاوه بر نانو رس، تقویت کننده فیبرهای طبیعی مانند نانو فیبرهای ابریشمی، بامبو، جوت، و نانولولههای کربنی به عنوان گزینههای دیگر هستند.[18][19] هر یک از این پیشرفتها دارای خاصیت منحصر به فردی هستند که نه تنها مقاومت را بهبود میبخشد بلکه قابلیت پردازش را نیز از طریق مقاومت در برابر رطوبت، کاهش نفوذپذیری بنزین و حافظه و بازیابی را بهبود میبخشد. برخی از نمونهها، مانند ترکیب پلی هیدروکسی آلکانواتها / پلی اسید اسید، افزایش استثنایی در چقرمگی را بدون آسیب رساندن به شفافیت نشان میدهد، و پلی کوپلیمر (L-lactide-co-ε-caprolactone) بسته به غلظت پلی -ε-کاپرولاکتونی که اضافه شدهاست، رفتار حافظه شکل را نشان دادهاست.[20][21]
مکانیسم تجزیه
بهطور کلی، پلیمرهای تخریب پذیر تجزیه میشوند تا گازها، نمکها و زیست توده تشکیل دهند.[22] تجزیه بیولوژیکی کامل زمانی رخ میدهد که هیچ الیگومر یا مونومری باقی نمانده باشد. تجزیه این پلیمرها به انواع مختلفی از عوامل از جمله پلیمر و همچنین، محیطی که پلیمر در آن قرار دارد بستگی دارد. خواص پلیمر که بر تخریب تاثیرگذارند عبارت است از: باند نوع، حلالیت، و کوپلیمرهای میان دیگران.[2] محیط اطراف پلیمر همان اندازه که ساختار پلیمر مهم است، اهمیت دارد. این عوامل که شامل مواردی مانند pH، دما، میکروارگانیسمهای موجود و آب میشوند، فقط چند نمونه است.[1]
دو مکانیسم اصلی وجود دارد که از طریق آنها تجزیه میتواند رخ دهد. یکی از طریق تجزیه فیزیکی از طریق واکنشهایی مانند هیدرولیز و تجزیه نوری، که میتواند به تخریب جزئی یا کامل منجر شود.[7] مسیر مکانیکی دوم از طریق فرآیندهای بیولوژیکی است که میتواند به فرآیندهای هوازی و بی هوازی تقسیم شود.[2] اولین مورد شامل تجزیه بیولوژیکی هوازی است، جایی که اکسیژن موجود و مهم است. در این حالت، معادله کلی که در زیر مشاهده میشود که باقی مانده C نمایانگر قطعات کوچکتر از پلیمر اولیه مانند الیگومرها است.
مکانیسم دوم تجزیه بیولوژیکی توسط فرآیندهای بی هوازی است، جایی که اکسیژن موجود نیست.
ارگانیسمهای بیشماری وجود دارند که توانایی تجزیه پلیمرهای طبیعی را دارند.[2] همچنین پلیمرهای مصنوعی نیز وجود دارند که فقط صد سال است که دارای ویژگیهای جدید هستند که میکروارگانیسمها قابلیت تجزیه ندارند. میلیونها سال طول خواهد کشید تا ارگانیسمها بتوانند با تخریب همهٔ این پلیمرهای مصنوعی جدید سازگار شوند. بهطور معمول، پس از انجام فرآیندهای فیزیکی تجزیه اولیه پلیمر، میکروارگانیسمها آنچه را که ماندهاست میگیرند و اجزا را حتی به واحدهای سادهتر تجزیه میکنند. این میکروارگانیسمها بهطور معمول قطعات پلیمر، مانند الیگومرها یا مونومرها را در سلول میگیرند جایی که آنزیمها برای ساختن آدنوزین تری فسفات (ATP) و محصولات نهایی پلیمر، دیاکسید کربن، گاز نیتروژن، متان، آب، مواد معدنی و زیست توده کار میکنند. این آنزیمها به روشهای مختلفی برای تجزیه پلیمرها از جمله اکسیداسیون یا هیدرولیز عمل میکنند. نمونههایی از آنزیمهای کلیدی شامل پروتئازها، استرازها، گلیکوزییدازها و پراکسیدازهای منگنز هستند.
کاربردها و موارد استفاده
پلیمرهای زیست تخریب پذیر مورد توجه بسیاری از زمینهها از جمله دارو، کشاورزی و بستهبندی قرار گرفتهاست. یکی از فعالترین زمینههای تحقیق در پلیمر تخریب پذیر در تحویل و ترشح داروی کنترل شدهاست.
پزشکی
پلیمرهای تخریب پذیر دارای کاربردهای بی شماری در زمینه زیست پزشکی بخصوص در زمینههای مهندسی بافت و تحویل دارو هستند.[11][23] برای استفاده از یک پلیمر تخریب پذیر به عنوان یک درمان، باید چندین معیار را رعایت کند: ۱) به منظور از بین بردن پاسخ خارجی بدن غیر سمی باشد. ۲) مدت زمان لازم برای تخریب پلیمر متناسب با زمان مورد نیاز برای درمان باشد. ۳) محصولات حاصل از تجزیه بیولوژیکی سمی نباشند و به راحتی از بدن حذف شوند. ۴) مواد باید به راحتی پردازش شوند تا بتوانند خصوصیات مکانیکی را برای کار مورد نیاز خود تنظیم کنند. ۵) به راحتی استریل شود. و ۶) ماندگاری قابل قبولی داشته باشد.[6][24]
پلیمرهای تخریب پذیر علاقه زیادی به زمینه تحویل دارو و نانومادیسین دارند. فواید بسیار مهم سیستم تحویل داروی تجزیه پذیر، توانایی حمل کننده دارو برای هدف قرار دادن ترشح بارگذاری خود به یک مکان خاص در بدن و سپس تجزیه به مواد غیر سمی است که از طریق مسیرهای متابولیکی طبیعی از بدن حذف می شوند.[25] این پلیمر به آرامی به قطعات کوچکتر تجزیه میشود و محصول طبیعی را آزاد میکند و توانایی ترشح کنترل شده دارو وجود دارد. این دارو به تدریج با تجزیه پلیمر آزاد میشود. به عنوان مثال، اسید پلیلاکتیک، پلی (لاکتیک- کولیکولی) اسید، و پلی (کاپرولاکتون)، که همه تجزیه تخریب پذیر هستند، برای حمل داروهای ضد سرطان استفاده شدهاست. کپسول درمانی در پلیمر و افزودن عوامل هدفمند باعث کاهش سمی بودن دارو برای سلولهای سالم میشود.
_01.JPG.webp)
پلیمرهای زیست تخریب پذیر و مواد بیولوژیکی نیز برای مهندسی بافت و بازسازی از اهمیت قابل توجهی برخوردار هستند. مهندسی بافت، توانایی بازسازی بافت با کمک مواد مصنوعی است. کمال چنین سیستمهایی میتواند برای رشد بافتها و سلولها در شرایط آزمایشگاهی یا استفاده از داربست تخریب پذیر برای ساخت ساختارها و اندامهای جدید در شرایط آزمایشگاهی استفاده شود.[26] برای این کاربردها، یک داربست تخریب پذیر حتماً ترجیح داده میشود زیرا خطر واکنش ایمنی و دفع جسم خارجی را کاهش میدهد. در حالی که بسیاری از سیستمهای پیشرفته تر برای درمانهای انسانی آماده نیستند، اما در مطالعات حیوانی تحقیقات مثبت قابل توجهی وجود دارد. به عنوان مثال، میتوان با موفقیت بافت ماهیچه صاف موش را روی داربست پلی کاپرولاکتون / پلیلاکتید رشد داد.[27] تحقیقات و توسعه بیشتر ممکن است این فناوری را برای استفاده در جایگزینی بافت، پشتیبانی یا تقویت در انسان ایجاد کند. یکی از اهداف نهایی مهندسی بافت ایجاد ارگانهایی مانند کلیه از ترکیبات اساسی است. داربست لازم است تا بتواند موجودیت را به یک ارگان عملکرد تبدیل کند، پس از آن داربست پلیمری تخریب شده و با خیال راحت از بدن خارج میشود. گزارشهایی در مورد استفاده از اسید پلی گلیکولیک و پلیلاکتیک اسید برای مهندسی بافت عروقی برای ترمیم قلب وجود دارد[28] داربست را میتوان برای ایجاد شریانها و عروق آسیب دیده استفاده کرد.
علاوه بر مهندسی بافت، از پلیمرهای تخریب پذیر در کاربردهای ارتوپدی مانند تعویض استخوان و مفصل استفاده میشود.[29] طیف گستردهای از پلیمرهای غیر تخریب پذیر برای کاربردهای ارتوپدی شامل لاستیک سیلیکون، پلی اتیلن، رزینهای اکریلیک، پلی اورتان، پلی پروپیلن و پلی متیل متاکریلات استفاده شدهاست. نقش اصلی بسیاری از این پلیمرها عمل به عنوان سیمان زیست سازگار در تثبیت پروتزها و جایگزینی اتصالات بود. پلیمرهای جدید زیست تخریب پذیر مصنوعی و طبیعی سازگار با بیولوژیکی توسعه یافتهاند. اینها شامل پلی گلیکولید، پلیلاکتید، پلی هیدروکسی بوتییرات، کیتوزان، اسید هیالورونیک و هیدروژلها می باشد. بهطور خاص، از پلی (۲-هیدروکسی اتیل متاکریلات)، پلی (اتیلن گلیکول)، کیتوزان و اسید هیالورونیک بطور گسترده در ترمیم غضروف، رباطها و تاندونها استفاده شدهاست. به عنوان مثال، پلی (L-lactide) (PLA)، برای ساخت پیچ و دارت برای ترمیم منیسک استفاده میشود و با نام تجاری Clearfix Mensical Dart / Screw به بازار عرضه میشود.[24] PLA یک پلیمر تخریب کننده آهسته است و برای تخریب و جذب بدن نیاز به مدت زمانی بیشتر از دو سال دارد.
بستهبندی و مواد

علاوه بر دارو، از پلیمرهای تخریب پذیر اغلب برای کاهش حجم ضایعات مواد بستهبندی استفاده میشود.[6] همچنین تلاش قابل توجهی برای جایگزینی مواد حاصل از پتروشیمی با مواد ساخته شده از اجزای زیست تخریب پذیر انجام شدهاست. یکی از متداولترین پلیمرها برای اهداف بستهبندی، پلی اتیلن اسید، PLA است.[31] تولید PLA دارای چندین مزیت است که مهمترین آنها توانایی خیاطی از خواص فیزیکی پلیمر از طریق روشهای پردازش است. PLA برای انواع فیلم، بستهبندی و ظروف (از جمله بطری و لیوان) استفاده میشود. در سال ۲۰۰۲، FDA حکم داد که PLA در استفاده از بستههای غذایی بی خطر است.[32] BASF محصولی به نام ecovio® را به بازار عرضه میکند که ترکیبی از زیست محصور از کمپانی پلی استر و قابل تجزیه زیست تخریب پذیر اکوفلکس و PLA است.[33] کاربردی برای این ماده سازگار و زیست محیطی تأیید شده برای هر نوع فیلم پلاستیکی مانند کیسههای خرید یا کیسههای زبالههای آلی است. ecovio® را میتوان در سایر کاربردها نیز استفاده کرد، مانند مقالات ساخته شده از گرمانرم و تزریق. حتی محصولات کاغذ روغنی یا کفهای کف را میتوان توسط این بیوپلیمر بسیار متنوع تولید کرد.
نمونههای قابل توجه
چالش شیمی سبز ریاست جمهوری ۲۰۱۲

هر ساله صدها میلیون تن پلاستیک از نفت تولید میشود.[34] بسیاری از این پلاستیکها در محلهای دفن زباله برای سالها باقی میمانند و در بستر محیط زیست خطرات بهداشتی قابل توجهی برای حیوانات به وجود میآورند؛ با این حال، زندگی معمولی انسان بدون آنها غیر عملی است (به برنامهها مراجعه کنید). یک راه حل برای این معضل پلیمرهای تخریب پذیر است. این پلیمرها این مزیت مشخص را دارند که با گذشت زمان تجزیه میشوند. دکتر جفری کوتس برای ایجاد کاتالیزورهایی که قادر به ایجاد مؤثر این پلیمرهای تخریب پذیر نیستند، تحقیقاتی را انجام داد، اما این پلیمرها همچنین از گازهای گلخانه ای و مشارکت کننده گرمایش جهانی، CO 2، و تولیدکننده ازن موجود در محیط زیست، CO استفاده میکنند.[35] این دو گاز را میتوان در غلظتهای بالای زبالههای کشاورزی، زغال سنگ و کاربردهای صنعتی به عنوان فرآوردههای فرعی یافت یا تولید کرد. کاتالیزورها نه تنها از این گازهای معمولاً هدر رفته و غیر دوستانه محیط زیست استفاده میکنند، بلکه علاوه بر انتخاب خوب، آنها را با کارایی زیاد و تعداد فرکانس های بالا نیز انجام میدهند.[36] این کاتالیزورها بهطور فعال توسط Novomer Inc برای ساختن پلی کربناتها استفاده شدهاست که میتواند جایگزین پوشش فعلی بیسفنول A (BPA) باشد که در بسیاری از بستهبندیهای مواد غذایی و نوشیدنی وجود دارد. تجزیه و تحلیل Novomer نشان میدهد که اگر در تمام موارد استفاده شود، این پوششهای پلیمری زیست تخریب پذیر میتواند از تولید بیشتر از CO 2 در صدها میلیون تن فقط در یک سال جلوگیری کند.
نگرانیهای آینده و مشکلات احتمالی
ابتدا خواصی مانند ظرفیت وزن پلیمر تخریب پذیر با پلیمر سنتی متفاوت است که ممکن است در بسیاری از کاربردهای روزانه نامطلوب باشد. دوم، مسائل مهندسی. پلیمرهای تخریب پذیر اکثراً مواد بر پایه گیاه هستند، به این معنی که آنها در اصل از منبع آلی مانند سویا یا ذرت حاصل میشوند. این گیاهان آلی شانس پاشیدن با سموم دفع آفات حاوی مواد شیمیایی را دارند که میتوانند محصولات زراعی را آلوده کرده و به محصول نهایی منتقل کنند. سوم، نرخ تخریب پایین. در مقایسه با روش رسوب سنتی، تجزیه تخریب پلیمر دارای یک دوره تخریب طولانیتر است. به عنوان نمونه از پلی هیدروکسی آلکانواتها (PHA) استفاده کنید، PHAها تا سه یا شش ماه یک دوره تخریب دارند. آخر، مسئله هزینه. فناوری تولید پلیمر تخریب پذیر هنوز نابالغ است، هزینه منابعی از قبیل نیروی کار و مواد اولیه در مقیاس کم تولید زیاد قابل مقایسه خواهد بود.
منابع
- editors, Luc Avérous, Eric Pollet (2012). Environmental silicate nano-biocomposites. London: Springer. ISBN 978-1-4471-4108-2.
- Bastioli, editor, Catia (2005). Handbook of biodegradable polymers. Shawbury, Shrewsbury, Shropshire, U.K.: Rapra Technology. ISBN 978-1-84735-044-2.
- Sadeghi-Varkani, Atina; Emam-Djomeh, Zahra; Askari, Gholamreza (2017-11-07). "Physicochemical and microstructural properties of a novel edible film synthesized from Balangu seed mucilage". International Journal of Biological Macromolecules. 108: 1110–1119. doi:10.1016/j.ijbiomac.2017.11.029. PMID 29126944.
- Nutton, Vivian (2012). Ancient medicine (2nd ed.). London: Routledge. ISBN 978-0-415-52094-2.
- editor, David B. Troy (2005). Remington: The science and practice of pharmacy (21st ed.). Philadelphia, PA: Lippincott, Williams & Wilkins. ISBN 978-0-7817-4673-1.
- Vroman, Isabelle; Tighzert, Lan (1 April 2009). "Biodegradable Polymers". Materials. 2 (2): 307–344. doi:10.3390/ma2020307. PMC 5445709.
- Kumar, A.Ashwin; K. , Karthick (2011). "Properties of Biodegradable Polymers and Degradation for Sustainable Development". International Journal of Chemical Engineering and Applications: 164–167. doi:10.7763/IJCEA.2011.V2.95.
- Chamy, Rolando (June 14, 2013). Biodegradation - Life of Science. InTech. ISBN 978-953-51-1154-2.
- Cox, David L. Nelson, Michael M. (2008). Lehninger principles of biochemistry (5th ed.). New York: W.H. Freeman. ISBN 978-0-7167-7108-1.
- al.], edited by Buddy D. Ratner … [et (2004). Biomaterials science: an introduction to materials in medicine (2nd ed.). San Diego, Calif.: Elsevier Academic Press. ISBN 978-0-12-582463-7.
- Lendlein, edited by Andreas; Sisson, Adam (2011). Handbook of biodegradable polymers: synthesis, characterization and applications ([Online Resource] ed.). Weinheim: Wiley-VCH. ISBN 978-3-527-63583-2.
- Amass, Wendy; Amass, Allan; Tighe, Brian (October 1998). "A review of biodegradable polymers: uses, current developments in the synthesis and characterization of biodegradable polyesters, blends of biodegradable polymers and recent advances in biodegradation studies". Polymer International. 47 (2): 89–144. doi:10.1002/(SICI)1097-0126(1998100)47:2<89::AID-PI86>3.0.CO;2-F.
- Brand, edited by Michael L. Johnson, Ludwig (2011). Computer methods (1st ed.). San Diego, CA: Academic Press. ISBN 978-1-118-16479-2.
- Bastioli, ed. : Catia (2005). Handbook of biodegradable polymers (1. publ. ed.). Shawbury: Rapra Technology Ltd. ISBN 978-1-85957-389-1.
- Martin, O; Avérous, L (June 2001). "Poly(lactic acid): plasticization and properties of biodegradable multiphase systems". Polymer. 42 (14): 6209–6219. doi:10.1016/S0032-3861(01)00086-6.
- Hollinger, edited by Jeffrey O. (2012). An introduction to biomaterials (2nd ed.). Boca Raton, FL: CRC Press/Taylor & Francis. ISBN 978-1-4398-1256-3.
- Lligadas, Gerard; Ronda, Juan C.; Galià, Marina; Cádiz, Virginia (8 November 2010). "Plant Oils as Platform Chemicals for Polyurethane Synthesis: Current State-of-the-Art". Biomacromolecules. 11 (11): 2825–2835. doi:10.1021/bm100839x. PMID 20939529.
- Pandey, Jitendra K.; Kumar, A. Pratheep; Misra, Manjusri; Mohanty, Amar K.; Drzal, Lawrence T.; Palsingh, Raj (2005-04-01). "Recent Advances in Biodegradable Nanocomposites". Journal of Nanoscience and Nanotechnology. 5 (4): 497–526. doi:10.1166/jnn.2005.111. ISSN 1533-4880. PMID 16004113.
- Phan, Duc C.; Goodwin, David G.; Frank, Benjamin P.; Bouwer, Edward J.; Fairbrother, D. Howard (Oct 2018). "Biodegradability of carbon nanotube/polymer nanocomposites under aerobic mixed culture conditions". Science of the Total Environment. 639: 804–814. doi:10.1016/j.scitotenv.2018.05.137. ISSN 0048-9697. PMID 29803051.
- Noda, Isao; Satkowski, Michael M.; Dowrey, Anthony E.; Marcott, Curtis (2004-03-15). "Polymer Alloys of Nodax Copolymers and Poly(lactic acid)". Macromolecular Bioscience. 4 (3): 269–275. doi:10.1002/mabi.200300093. ISSN 1616-5187. PMID 15468217.
- Li, Zhengqiang; Liu, Peng; Yang, Ting; Sun, Ying; You, Qi; Li, Jiale; Wang, Zilin; Han, Bing (2016-04-07). "Composite poly(l-lactic-acid)/silk fibroin scaffold prepared by electrospinning promotes chondrogenesis for cartilage tissue engineering". Journal of Biomaterials Applications. 30 (10): 1552–1565. doi:10.1177/0885328216638587. ISSN 0885-3282. PMID 27059497.
- Kržan, Andrej. "Biodegradable polymers and plastics" (PDF). Plastice. Retrieved 9 February 2014.
- Tian, Huayu; Tang, Zhaohui; Zhuang, Xiuli; Chen, Xuesi; Jing, Xiabin (February 2012). "Biodegradable synthetic polymers: Preparation, functionalization and biomedical application". Progress in Polymer Science. 37 (2): 237–280. doi:10.1016/j.progpolymsci.2011.06.004.
- Middleton, John C; Tipton, Arthur J (December 2000). "Synthetic biodegradable polymers as orthopedic devices". Biomaterials. 21 (23): 2335–2346. doi:10.1016/S0142-9612(00)00101-0.
- Caballero-George, Catherina; Marin; Briceño (August 2013). "Critical evaluation of biodegradable polymers used in nanodrugs". International Journal of Nanomedicine. 8: 3071–90. doi:10.2147/IJN.S47186. PMC 3753153. PMID 23990720.
- Bronzino, edited by Joon B. Park, Joseph D. (2002). Biomaterials Principles and Applications. Hoboken: CRC Press. ISBN 978-1-4200-4003-6.
- Martina, Monique; Hutmacher, Dietmar W (February 2007). "Biodegradable polymers applied in tissue engineering research: a review". Polymer International. 56 (2): 145–157. doi:10.1002/pi.2108.
- Kurobe, H.; Maxfield, M. W.; Breuer, C. K.; Shinoka, T. (28 June 2012). "Concise Review: Tissue-Engineered Vascular Grafts for Cardiac Surgery: Past, Present, and Future". Stem Cells Translational Medicine. 1 (7): 566–571. doi:10.5966/sctm.2012-0044. PMC 3659720. PMID 23197861.
- Navarro, M; Michiardi, A; Castano, O; Planell, J.A (6 October 2008). "Biomaterials in orthopaedics". Journal of the Royal Society Interface. 5 (27): 1137–1158. doi:10.1098/rsif.2008.0151. PMC 2706047. PMID 18667387.
- "Bio-Flex". Archived from the original on 2014-02-17. Retrieved 10 February 2014.
- Jamshidian, Majid; Tehrany, Elmira Arab; Imran, Muhammad; Jacquot, Muriel; Desobry, Stéphane (26 August 2010). "Poly-Lactic Acid: Production, Applications, Nanocomposites, and Release Studies". Comprehensive Reviews in Food Science and Food Safety. 9 (5): 552–571. doi:10.1111/j.1541-4337.2010.00126.x.
- "FDA Food Contact Notification". Retrieved 10 February 2014.
- "BASF ecovio". Retrieved 9 February 2017.
- "Plastics- The Facts 2012" (PDF). Plastics Europe. Archived from the original (PDF) on 2015-05-29. Retrieved 9 February 2014.
- "Winners of Presidential Green Chemistry Challenge Awards". American Chemical Society. Archived from the original on 10 July 2015. Retrieved 9 February 2014.
- "2012 Academic Award". United States Environmental Protection Agency. 2013-03-20. Archived from the original on 10 July 2015. Retrieved 9 February 2014.
پیوند به بیرون
- پلاستیک - esciencenews.com
- "روندهای نوظهور در پلیمرهای تخریب پذیر مصنوعی - Polylactide: یک نقد." مجله اروپایی پلیمر، ۲۰۰۷، ۴۳ ۴۰۵۳–۴۰۷۴