چگالی الکترونی
چگالی الکترونی (به انگلیسی: Electron density) اندازهگیری احتمال بودن یک الکترون در یک مکان ویژه است. در مولکولها، نواحی با چگالی الکترونی معمولاً در اطراف اتم، و باندهای آن است.
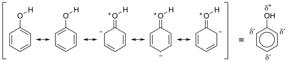
در سیستمهای د-موضعی یا مزدوج، مانند فنل، بنزین و ترکیباتی مانند هموگلوبین و کلروفیل، چگالی الکترونی م ی منطقه را پوشش میدهد منطقه کل، به عنوان مثال، در بنزین آنها را در بالا و پایین حلقه مسطح آنها را میتوان یافت. این است که گاهی اوقات به صورت ترسیم هندسی به صورت یک سری از متناوبهای یکتایی و دوتایی نشان داده میشوند. در مورد فنل، بنزین، یک دایره در داخل یک شش ضلعی را نشان میدهند ی -د موضعی بودن طبیعت ترکیب است. این زیر نشان داده شده:

جستارهای وابسته
منابع
- مشارکتکنندگان ویکیپدیا. «Electron density». در دانشنامهٔ ویکیپدیای انگلیسی، بازبینیشده در ۲۹ آوریل ۲۰۱۵.
This article is issued from Wikipedia. The text is licensed under Creative Commons - Attribution - Sharealike. Additional terms may apply for the media files.