کافامینول
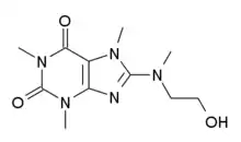
کافامینول (Cafaminol) که با نامهای رینتن (Rhinetten) و رینوپتیل (Rhinoptil) نیز به فروش میرسد، یک تنگ کننده عروقی از گروه گزانتین هاست که به عنوان ضد احتقان بینی کاربرد دارد.
![]() | |
|---|---|
| سامانهشناسی نام (آیوپاک) | |
| 8-[(2-hydroxyethyl)(methyl)amino]-1,3,7-trimethyl-3,7-dihydro-1H-purine-2,6-dione | |
| دادههای بالینی | |
| رده بارداری | ? |
| تجویز | ? |
| شناسه | |
| شماره سیایاس | 30924-31-3 |
| کد ATC | None |
| پابکم | CID 35685 |
| کماسپایدر | 32824 |
| UNII | 0L1S25NC1L |
| ChEMBL | CHEMBL2104570 |
| مترادفها | Methylcoffanolamine; 8-(2-hydroxyethyl)methylaminocaffeine |
| دادههای شیمی | |
| فرمول | C11H17N5O۳ |
| وزن مولکولی | 267.28 g/mol |
| SMILES | eMolecules & PubChem |
| |
منابع
- Rogowski M, Chodynicki S (October 1985). "[Use of the preparation Cafaminol in the treatment of acute rhinitis]". Wiadomości Lekarskie (Warsaw, Poland: 1960) (in Polish) 38 (20): 1437–40.
- Swiss Pharmaceutical Society (2000). Index Nominum 2000: International Drug Directory (Book with CD-ROM). Boca Raton: Medpharm Scientific Publishers. ISBN 3-88763-075-0
This article is issued from Wikipedia. The text is licensed under Creative Commons - Attribution - Sharealike. Additional terms may apply for the media files.
