کشش قیمتی عرضه
کشش قیمتی عرضه (به انگلیسی: Price elasticity of supply) درصد تغییر مقدار عرضه یک کالا را نسبت به درصد تغییر قیمت آن اندازهگیری میکند.

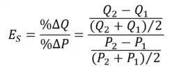
فرمول آن به صورت زیر میباشد:
(P1+P2/Q1+Q2)*
اگر بزرگتر از یک باشد عرضه باکشش است.اگر مساوی یک بود دارای کشش واحد و اگر کوچکتر از یک باشد کم کشش است.در محاسبه کشش عرضه، مانند کشش تقاضا استفاده از مقدار و قیمت اولیه یا مقدار و قیمت جدید مقدار کششهای متفاوتی بدست میآید.برای پرهیز از این تفاوت، میتوان از متوسط مقدار و قیمت اولیه و جدید استفاده نمود.
جستارهای وابسته
منبع
- Adams, Walter (1990). The Structure of Indian Industry (8th ed.). MacMillan Publishing Company. ISBN 0-02-300771-0.
- Case, K; Fair, R (1999). Principles of Economics (5th ed.).
- Duetsch, Larry L. (1993). Industry Studies. Englewood Cliffs, NJ: Prentice Hall. ISBN 0-13-454778-0.
- Parkin, Michal; Powell, Melanie; Matthews, Kent (2002). Economics. Harlow: Addison–Wesley. ISBN 0-273-65813-1.
- Png, Ivan (1999). Managerial Economics. Blackwell. ISBN 978-0-631-22516-4. Retrieved 28 February 2010.
- Research and Education Association, The Economics Problem Solver. REA 1995.
- Samuelson; Nordhaus (2001). Microeconomics (17th ed.). McGraw–Hill.
- O'Sullivan, Arthur; Sheffrin, Steven M. (2004). Economics: Principles in Action. Upper Saddle River, New Jersey 07458: Pearson Prentice Hall. p. 104. ISBN 0-13-063085-3.
This article is issued from Wikipedia. The text is licensed under Creative Commons - Attribution - Sharealike. Additional terms may apply for the media files.