آزمایش نفوذ استاندارد
آزمایش نفوذ استاندارد (به انگلیسی: Standard penetration test) یا به اختصار اِس. پی. تی (به انگلیسی: SPT) از بررسیهای ژئوتکنیکی است که برای نمونهبرداری از خاک و تعیین مشخصات مکانیکی و مهندسی خاک و چینهشناسی مورد استفاده قرار میگیرد. در این آزمایش یک نمونهگیر دوکفهای،[1] که در انتهای لوله حفاری نصب شده است با ضربات یک چکش ۶۲۳ نیوتنی به داخل خاک کوبیده میشود.[2]

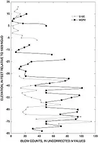
نتایج آزمایش نفوذ استاندارد در منطقهای در جنوب فلوریدا.
منابع
- Das, B.M. (2007) "Principles of Foundation Engineering, Sixth Edition", Thomson, ISBN 0-495-08246-5, 750 p.
- ASTM D1586, 2008a, "Standard Test Method for Standard Penetration Test (SPT) and Split-Barrel Sampling of Soils", ASTM International, West Conshohocken, PA, 2003, DOI: 10.1520/D1586-08, www.astm.org.
This article is issued from Wikipedia. The text is licensed under Creative Commons - Attribution - Sharealike. Additional terms may apply for the media files.