تراکم بنزوئین
تراکم بنزوئین (که اغلب یک واکنش تراکمی محسوب میشود) واکنشی است که بین دو آلدئید به خصوص بنزآلدئید رخ میدهد. بهطور کلی واکنش بین آلدئیدهای آروماتیک یا گلیوکسالها رخ میدهد. بهطور مرسوم، فرایند شامل یک واکنش افزایشی کاتالیز شده توسط هستهدوستهایی مانند آنیون سیانید یا یک کاربن ناجور حلقهٔ نیتروزنی (معمولاً نمکهای تیازولیوم) میباشد. محصول واکنش آسیلوئین آروماتیک به همراه یک بنزوئین به عنوان ترکیب اصلی است.[1]

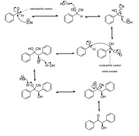
مکانیسم واکنش
در اولین گام در این واکنش یک آنیون سیانید (مانند سدیم سیانید) با یک آلدهید طی یک یک فرایند هستهدوستی، واکنش میدهد. نوآرایی حدواسط منجر به معکوس شدن قطبیت گروه کربونیل میشود و این خود موجب میشود روه کربونیل حاصل به گروه کربونیل دیگری حمله نماید و تولید یک محصول افزایشی را موجب گردد. در نهایت انتقال پروتون و حذف یون سیانید منجر به محصول بنزوئین میشوند.

جستارهای وابسته
منابع
- Roger Adams and C. S. Marvel (1941), "Benzoin", Org. Synth.