زرانول
زرانول (به انگلیسی: Zeranol) یک ترکیب شیمیایی با شناسه پابکم ۳۳۵۳۴ است.
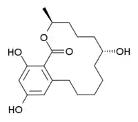
| زرانول | |
|---|---|
![]() | |
(3S7R)-71416-Trihydroxy-3-methyl-3456789101112-decahydro-1H-2-benzoxacyclotetradecin-1-one | |
دیگر نامها α-Zearalanol | |
| شناساگرها | |
| شماره ثبت سیایاس | 26538-44-3 |
| پابکم | 33534 |
| کماسپایدر | 4447689 |
| ChEMBL | CHEMBL371463 |
| جیمول-تصاویر سه بعدی | Image 1 |
SMILES
| |
| |
| خصوصیات | |
| فرمول مولکولی | C18H26O5 |
| جرم مولی | ۳۲۲٫۴ g mol−1 |
| به استثنای جایی که اشاره شدهاست در غیر این صورت، دادهها برای مواد به وضعیت استانداردشان داده شدهاند (در 25 °C (۷۷ °F)، ۱۰۰ kPa) | |
| | |
| Infobox references | |
|
| |
جستارهای وابسته
This article is issued from Wikipedia. The text is licensed under Creative Commons - Attribution - Sharealike. Additional terms may apply for the media files.
