سنتز آلدهید بووالت
سنتز آلدهید بووالت که همچنین با عنوان واکنش بووالت نیز شناخته میشود، یک واکنش تکظرف جانشینی است که طی آن با استفاده از یک فرمامید، یک گروه آلکیل یا آریل هالید با یک گروه فرمیل جایگزین میشود.[1][2] چنانچه از آلکیلهای هالید نوع اول به عنوان ماده اولیه استفاده شود، محصول یک آلدهید همولوگ خواهد بود که تنها یک کربن اضافهتر دارد. سنتز آلدهید با کمک واکنش بووالت نمونهای از یک واکنش فرمولاسیون است که نام آن به افتخار شیمیدان فرانسوی لوئیس بوو و انتخاب شدهاست.

سنتز Bouveault آلدهید
| Bouveault aldehyde synthesis | |
|---|---|
| نامگذاری شده پس از | لوئیس بوو |
| نوع واکنش | واکنشهای فرمیلدار کردن |
| شناسهها | |
| RSC ontology ID | RXNO:۰۰۰۰۵۳۳ |
مکانیسم واکنش
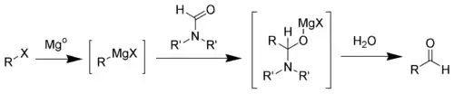
اولین مرحله در سنتز آلدهید بووالت تشکیل یک معرف گرینیارد است. در مرحله بعد، با افزوده شدن یک فرمامید دواستخلافی، یک همیآمینال تشکیل میشود. همیآمینال تولیدی به راحتی میتواند با کمک فرایند هیدرولیز، به آلدهید مورد نظر تبدیل شود.
منابع
- Louis Bouveault (1904). "Modes de formation et de préparation des aldéhydes saturées de la série grasse" [Methods of preparation of saturated aldehydes of the aliphatic series]. Bull. Soc. Chim. Fr. (به French). 31: 1306–1322.
- Louis Bouveault (1904). "Nouvelle méthode générale synthétique de préparation des aldéhydes" [Novel general synthetic method for preparing aldehydes]. Bull. Soc. Chim. Fr. (به French). 31: 1322–1327.
This article is issued from Wikipedia. The text is licensed under Creative Commons - Attribution - Sharealike. Additional terms may apply for the media files.