سنتز پیریدین چیچیبابین
سنتز پیریدین چیچیبابین (به انگلیسی: Chichibabin pyridine synthesis) یکی از روشهای سنتز حلقه پیریدین است. این فرایند در واقع واکنش تراکمی بین آلدهید، کتون و ترکیبات آلف،بتا غیر اشباع کربونیل در محیطی از آمونیاک یا مشتقات آن است.[1] این فرایند نخستین بار توسط شیمیدان روس الکسی چیچیبابین در سال ۱۹۲۴ میلادی کشف و توصیف شد.[2]
| سنتز پیریدین چیچیبابین | |
|---|---|
| نامگذاری شده پس از | الکسی چیچیبابین |
| نوع واکنش | واکنشهای تشکیل حلقه |
| شناسهها | |
| RSC ontology ID | RXNO:0000526 |
سازوکار
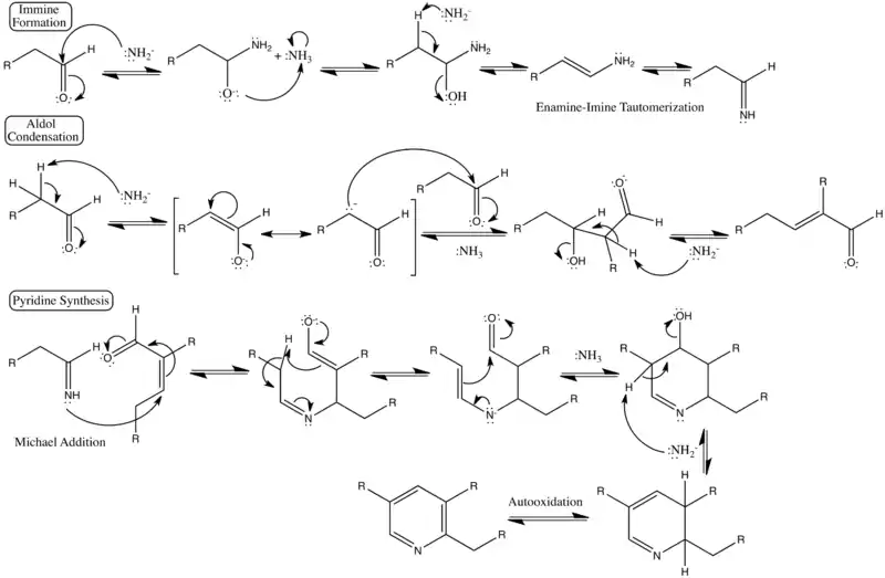
سازوکار پیشنهادی برای این واکنش به صورت زیر است:[3][4]
سازوکار اساسی

سازوکار سنتز پیریدین چیچیبابین
با جزئیات بیشتر

سازوکار سنتز پیریدین چیچیبابین
واکنشهای مرتبط
- واکنش چیچیبابین
- Hantzsch pyridine synthesis
منابع
- Frank, R.L.; Seven, R. P. (1949). "Pyridines. IV. A Study of the Chichibabin Synthesis". Journal of the American Chemical Society. 71 (8): 2629–35. doi:10.1021/ja01176a008.
- Tscihtschibabin, A.E. (1924). "Über Kondensation der Aldehyde mit Ammoniak zu Pyridinebasen". Journal für Praktische Chemie. 107: 122. doi:10.1002/prac.19241070110.
- Jie Jack Li (2009). "Chichibabin pyridine synthesis". Name Reactions. pp. 107–09. doi:10.1007/978-3-642-01053-8_51. ISBN 3-540-40203-9.
- M Weiss (1952). "Acetic Acid—Ammonium Acetate Reactions. An Improved Chichibabin Pyridine Synthesis". Journal of the American Chemical Society. 74 (1): 200. doi:10.1021/ja01121a051.
This article is issued from Wikipedia. The text is licensed under Creative Commons - Attribution - Sharealike. Additional terms may apply for the media files.
