کربونیل
کربونیل (به انگلیسی: Carbonyl) دستهای بزرگ از ترکیبات آلی است که در آن یک اتم کربن به یک اتم اکسیژن با یک پیوند دوگانه متصل است. همچنین این گروه عاملی در ترکیبات معدنی و ترکیبات کمپلکس نیز وجود دارد. در جدولهای زیر، بعضی از گروههای عاملیِ شامل گروه کربونیل، نشان داده شده است. هر چقدر گروه الکیلی کربونیل بزرگتر باشد خواص کووالانسی و رزونانسی آن کمتر خواهد شد و تمایل به یک فرم دی هیدرال شدن در آن بیشتر می شود.

ساختار عمومی کربونیل ها
| ترکیب | آلدهید | کتون | کربوکسیلیک اسید | استر | آمید |
| ساختار | ![]() | ![]() | ![]() | ||
| فرمول عمومی | RCHO | RCOR' | RCOOH | RCOOR' | RCONR'R'' |
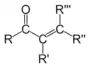
| ترکیب | انون | آسیل هالید | اسید انیدرید | ایمید |
| ساختار | ![]() | ![]() | ![]() | ![]() |
| فرمول عمومی | RC(O)C(R')CR''R''' | RCOX | (RCO)2O | RC(O)N(R')C(O)R''' |
دیگر کربنیل های آلی اوره و کربامات هستند، مشتقات کلر کلرید های آکیل کلرید و فسژن، استرهای کربنات، تریستران، لاکتون، لاکتام، هیدروکسیمها و ایزوسیانات ها. نمونه هایی از ترکیبات کربونیک معدنی، دی اکسید کربن و کربنیل سولفید است
منابع
- "carbonyl group". Encyclopædia Britannica. Retrieved 23 January 2013.
- https://context.reverso.net/translation/spanish-english/carbonil
This article is issued from Wikipedia. The text is licensed under Creative Commons - Attribution - Sharealike. Additional terms may apply for the media files.






