گروه پروپیل
در شیمی آلی پروپیل عبارت است از استخلاف یک آلکیل سه کربنه با فرمول شیمیایی -CH2CH2CH3 برای بخش خطی. این فرم استخلاف معمولاً با حذف یک اتم هیدروژن متصل به کربن انتهایی پروپان بدست میآید.[1] یک استخلاف پروپیل در شیمی آلی معمولاً با نماد Pr نمایش داده میشود (با عنصر پرازئودیمیم اشتباه نشود).

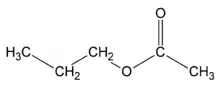
پروپیل اتانوآت که به آن پروپیل استات هم میگویند.
منابع
- «IUPAC Nomenclature - Acyclic Hydrocarbons Rule A-1». بایگانیشده از اصلی در ۱۸ ژانویه ۲۰۱۲. دریافتشده در ۱۴ ژانویه ۲۰۱۷.
جستارهای وابسته
This article is issued from Wikipedia. The text is licensed under Creative Commons - Attribution - Sharealike. Additional terms may apply for the media files.