سیتیدین تری فسفات
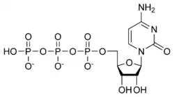
سیتیدین تری فسفات (به انگلیسی: Cytidine triphosphate) با فرمول شیمیایی C9H16N3O14P3 یک ترکیب شیمیایی با شناسه پابکم 82267 است. که جرم مولی آن ۴۸۳٫۱۵۶ گرم بر مول میباشد.
| سیتیدین تری فسفات | |
|---|---|
![]() | |
[(2R3S4R5R)-5-(4-amino-2-oxopyrimidin-1-yl)-34-dihydroxyoxolan-2-yl]methyl(hydroxy-phosphonooxyphosphoryl)hydrogen phosphate | |
دیگر نامها CTP; Cytidine-5'-triphosphate; Cytidine 5'-(tetrahydrogen triphosphate) | |
| شناساگرها | |
| شماره ثبت سیایاس | 65-47-4 |
| پابکم | 6176 |
| کماسپایدر | 19952488 |
| MeSH | Cytidine+triphosphate |
| IUPHAR ligand | 1741 |
| جیمول-تصاویر سه بعدی | Image 1 Image 2 |
SMILES
| |
| |
| خصوصیات | |
| فرمول مولکولی | C9H16N3O14P3 |
| جرم مولی | 483.156 |
| به استثنای جایی که اشاره شدهاست در غیر این صورت، دادهها برای مواد به وضعیت استانداردشان داده شدهاند (در 25 °C (۷۷ °F)، ۱۰۰ kPa) | |
| | |
| Infobox references | |
|
| |
